EasyManua.ls Logo

Record DFA 70 - Specifications; Tecnical Data; Door Leaf Weights and Door Widths

Default Icon
34 pages
Print Icon
To Next Page IconTo Next Page
To Next Page IconTo Next Page
To Previous Page IconTo Previous Page
To Previous Page IconTo Previous Page
Loading...
4 Specifications
18 / 34 BAL_DFA_70_EN_1V0_REC_102-127109270
4 Specifications
4.1 Tecnical data
Dimensions (W x H x D) 900 x 70 x 127 mm
Operating voltage: 110 – 240 VAC, 50/60 Hz
Power consumption: Standby 13 W, Nominal power 67 W
Max. torque: 50 Nm
Max. Mass inertia of door leaf: 65 kgm
2
Opening angle: Adjustable from 70° to 115°
Hold-open time Adjustable from 0 to 60 seconds (40 steps)
Opening speed: Adjustable from 3 to 20 seconds (40 steps)
Closing speed: Adjustable from 5 to 20 seconds (40 steps)
Noise level: < 45 dB
Protection class: IP20
Temperature range: From -15 to +50° C
Humidity range: Up to 85% rel. humidity, not condensing
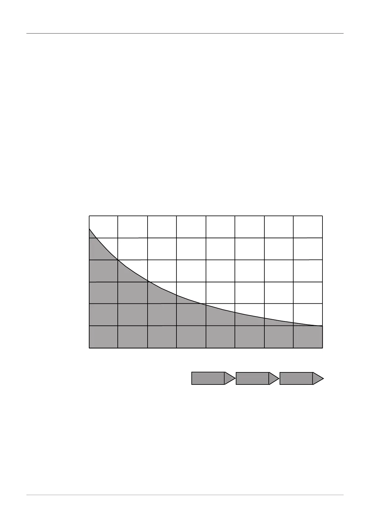
4.2 Door leaf weights and door widths
Weight of door leaf (kg)
Door leaf width (m)
Recommended door leaf width for door closer size according to
600
0
100
200
300
400
500
0.6 0.7 0.8 0.9 1.0 1.1 1.2 1.3 1.4
EN 4
EN 5 EN 6
The curve is calculated using the following formula:
J=1/3 x m x b
2
Standard arm: J max. 65 kgm
2
Key: J = moment of inertia kgm
2
Sliding arm: J max. 65 kgm
2
m = weight of door leaf in kg
b = door leaf width in m

Related product manuals