EasyManua.ls Logo

REFU REFUsol 100K - About this Manual; 1.1 Scope of this Manual; 1.2 Target Group of this Manual; 1.3 Presentation of Information

Default Icon
66 pages
Print Icon
To Next Page IconTo Next Page
To Next Page IconTo Next Page
To Previous Page IconTo Previous Page
To Previous Page IconTo Previous Page
Loading...
About this Manual 5
Scope of this Manual
REFUsol 100K
982059/02
2020-11
EnglishDeutsch
1 About this Manual
1.1 Scope of this Manual
This manual applies to the following products:
REFUsol 100K Solar Inverter
REFUsol Decentral ConnectionBox
REFUsol Central ConnectionBox
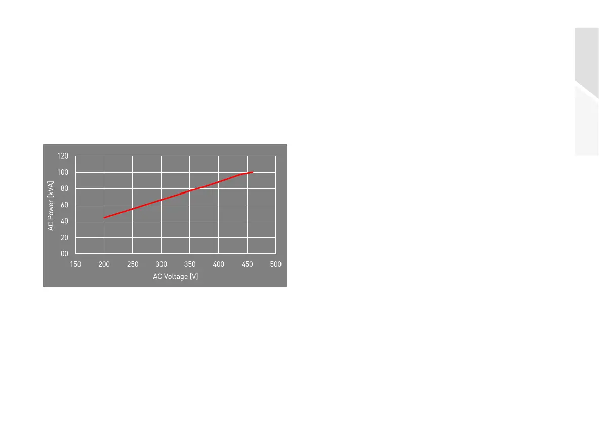
Fig. 1: Power rating depending on AC voltage
1.2 Target Group of this Manual
This manual is intended for installers, operators,
service technicians and plant operators.
This manual contains basic information, to assem-
ble the product safely and properly, to transport, to put
into operation and to operate.
Read this manual completely and in particular the
chapter "Safety and Responsibility", before you
work with the product.
1.3 Presentation of Information
To enable you to handle your product safely and
quickly with these instructions, uniform warnings,
symbols, designations and abbreviations are used.

Table of Contents

Related product manuals