EasyManua.ls Logo

Rheem Raypak X94 SR-410 - Control Logic - Flow Chart (Pool & Spa Modes)

Rheem Raypak X94 SR-410
52 pages
To Next Page IconTo Next Page
To Next Page IconTo Next Page
To Previous Page IconTo Previous Page
To Previous Page IconTo Previous Page
Loading...
42
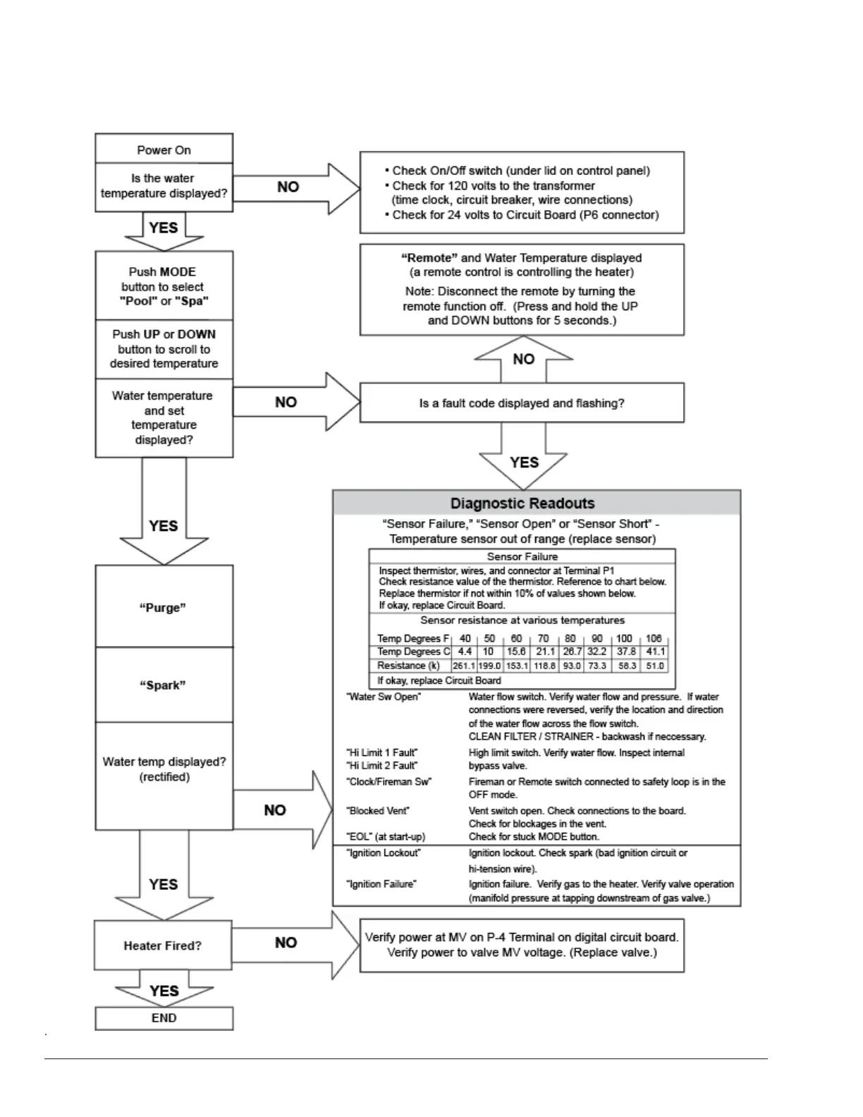
Control Logic - Flow Chart (Pool & Spa Modes)
APPROVED
UNCONTROLLED DOCUMENT IF PRINTED

Table of Contents

Related product manuals