EasyManua.ls Logo

Robin RGX3500 - Page 9

Robin RGX3500
94 pages
Print Icon
To Next Page IconTo Next Page
To Next Page IconTo Next Page
To Previous Page IconTo Previous Page
To Previous Page IconTo Previous Page
Loading...
/ i
I
I
E
I
2 !
! i 1
,
i i i I I 1
1
II I i.. 11 ; l l ‘I
s
>
0
4
8
12
16
20
c-ll!?RFh!T iA:-
52
51
50
49
240
220
200
!
j
(
0
2
4
6
a
10
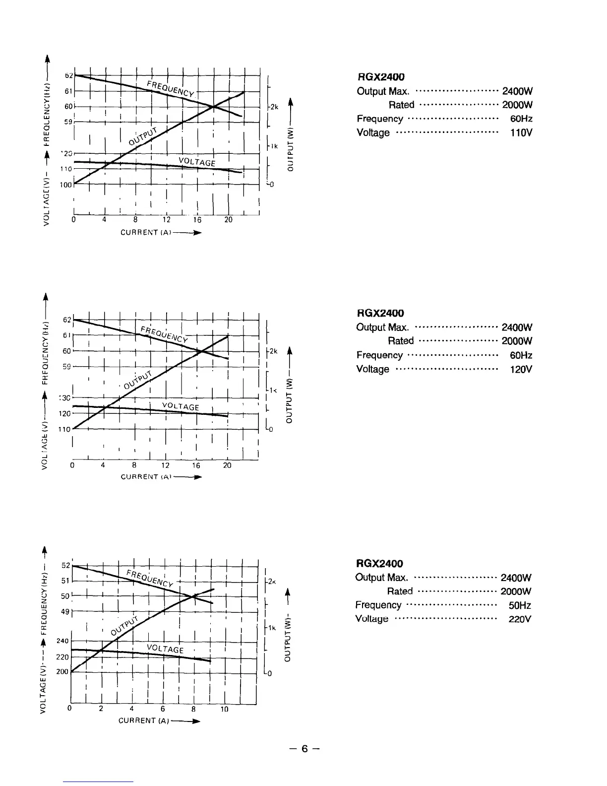
RGX2400
Output Max.
......................
24mw
Rated
.....................
2-Joow
Frequency..
......................
60Hz
Voltage
...........................
11(-g/
RGX2400
Output Max.
......................
2400~
Rated
.....................
2o(-Jow
Frequency..
......................
60Hz
Voltage
...........................
12ov
RGX2400
Output Max.
......................
24oow
Rated
.....................
2()oow
Frequency
........................
50Hz
Voltage
...........................
22ov
CURRENT (A)-
-6-

Related product manuals