EasyManua.ls Logo

SENSTAR UltraWave E4FG0101 - Page 40

SENSTAR UltraWave E4FG0101
52 pages
Print Icon
To Next Page IconTo Next Page
To Next Page IconTo Next Page
To Previous Page IconTo Previous Page
To Previous Page IconTo Previous Page
Loading...
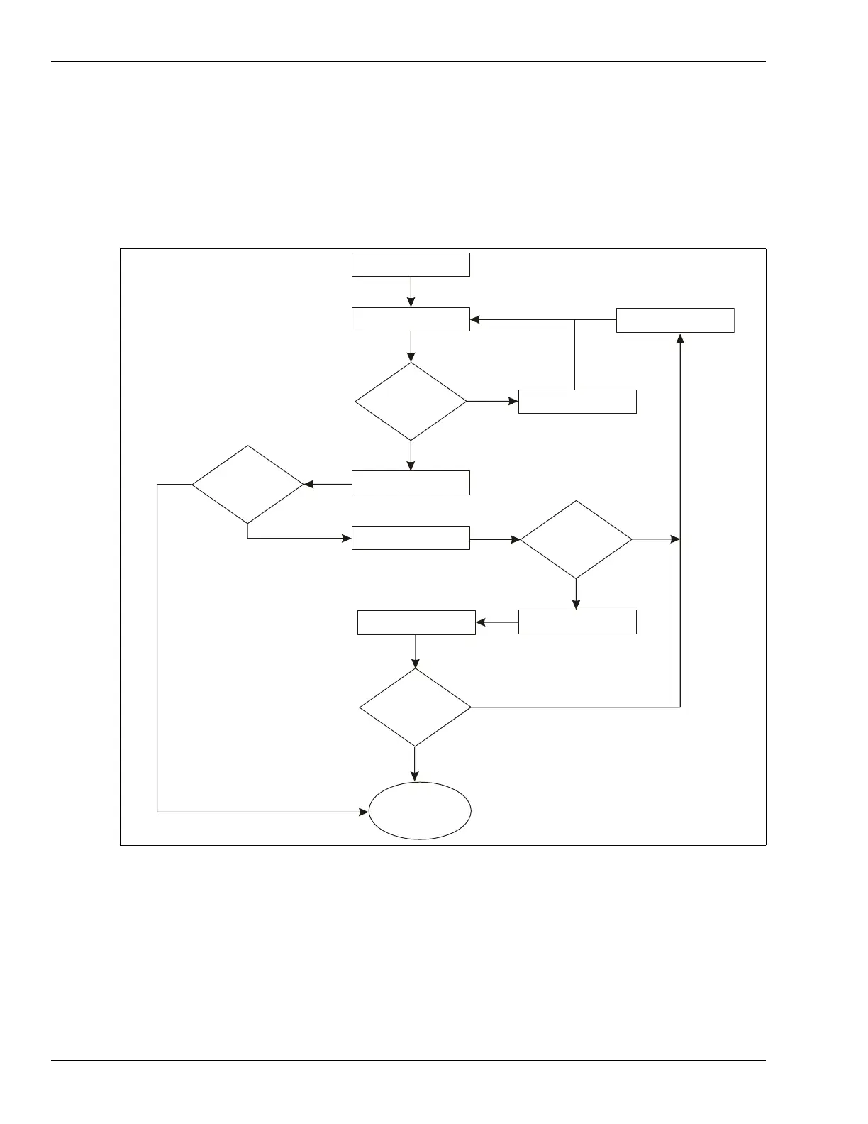
System verification tests
Page 40 UltraWave Product Guide
4. If any test does not cause an alarm, reduce the Crawl Target Threshold 1 level (500 units per
level) and then repeat the tests.
If any subsequent test does not cause an alarm, reduce the Upright Target Threshold 1 level
and then repeat the tests.
5. Continue this process until you get an alarm with each test.
6. When each test results in an alarm, use the current Threshold settings and monitor the system
for nuisance alarms.
If the NAR is acceptable, use the current Threshold settings.
Figure 33 UltraWave verification test flow chart
Recalibrate button
set the Thresholds
correct problems
microwave
alarms?
lower Threshold(s)
monitor NAR
too many NAs?
calibration
complete
verify installation
installation OK?
conduct tests
N
Y
Y
N
N
NAR = nuisance alarm rate
NAs = nuisance alarms
Y
monitor NAR
too many NAs?
Y
N
raise Threshold(s)

Table of Contents