EasyManua.ls Logo

Siemens SIMATIC RF300 - Relationship between the Volume of Data and the Transponder Speed; RF310 R with IQ-Sense

Siemens SIMATIC RF300
70 pages
Print Icon
To Next Page IconTo Next Page
To Next Page IconTo Next Page
To Previous Page IconTo Previous Page
To Previous Page IconTo Previous Page
Loading...
RF300 system planning
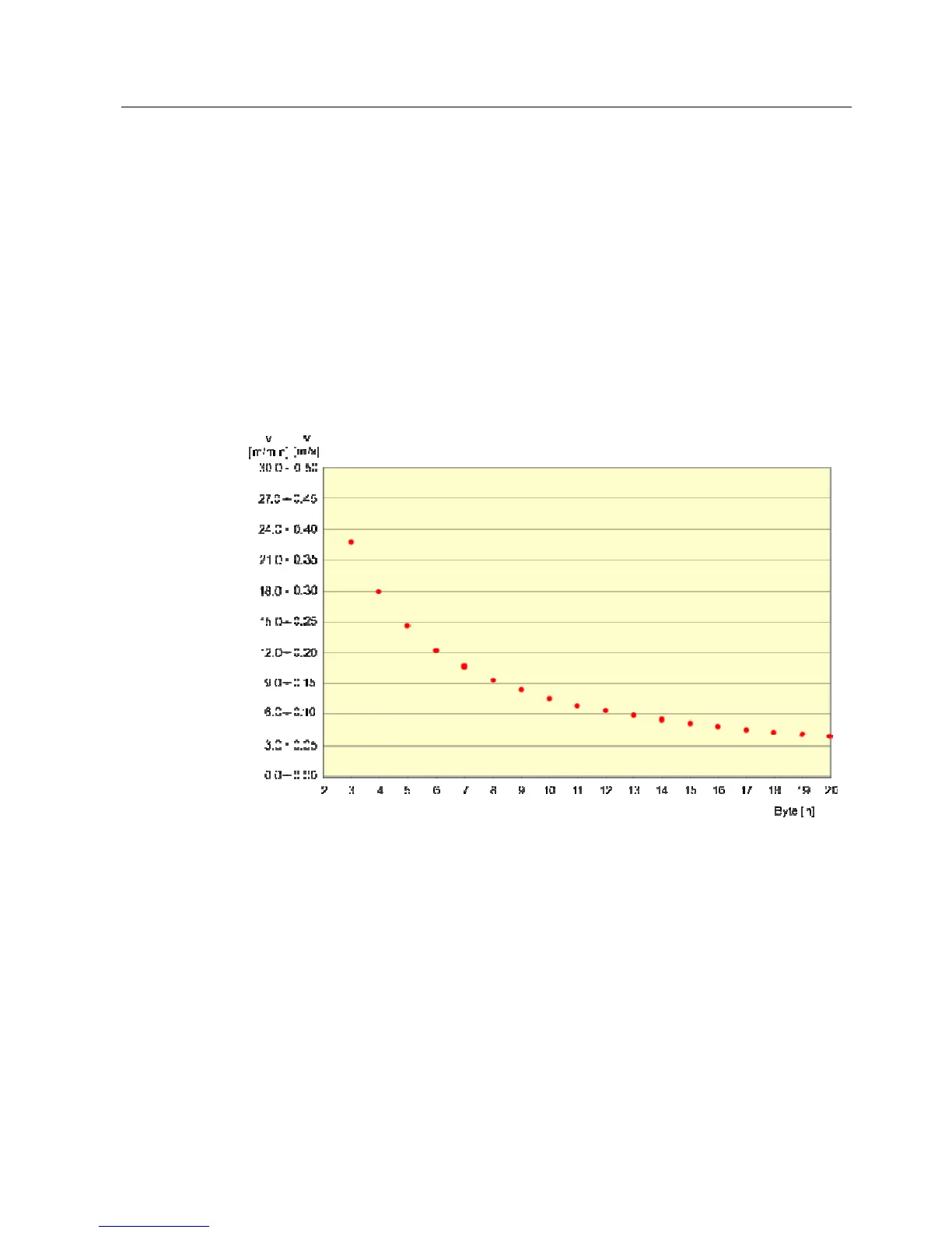
4.3 Relationship between the volume of data and the transponder speed
SIMATIC RF300
System Manual, Release 04/2006, J31069 D0166-U001-A2-7618
4-19
4.3 4.3 Relationship between the volume of data and the transponder speed
4.3.1 RF310R with IQ-Sense
The curves shown here show the relationship between the speed of the RF320T and
RF340T transponders and the volume of data transferred.
Figure 4-8 Relationship between speed and volume of data when using the RF310R (IQ-Sense)

Table of Contents

Related product manuals