EasyManua.ls Logo

Siemens SIMATIC RF300 - Page 42

Siemens SIMATIC RF300
70 pages
Print Icon
To Next Page IconTo Next Page
To Next Page IconTo Next Page
To Previous Page IconTo Previous Page
To Previous Page IconTo Previous Page
Loading...
RF300 system planning
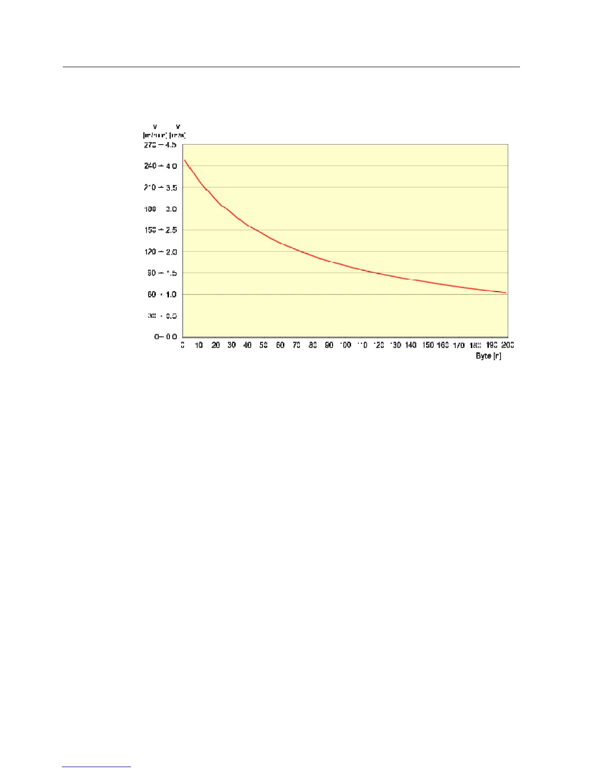
4.3 Relationship between the volume of data and the transponder speed
SIMATIC RF300
4-22 System Manual, Release 04/2006, J31069 D0166-U001-A2-7618
Figure 4-12 Relationship between speed and volume of data (reading/writing) when using the
RF310R (RS 422) and RF350T/RF360T
Note:
The curves for the RF320T are valid for reading/writing to the EEPROM memory area of the
RF340T, RF350T and RF360T transponders.

Table of Contents

Related product manuals