EasyManua.ls Logo

Sony UP-980 - 4-5-9. Analog Circuit Section Control; 4-5-10. Gate Array IC601 Control

Sony UP-980
110 pages
Print Icon
To Next Page IconTo Next Page
To Next Page IconTo Next Page
To Previous Page IconTo Previous Page
To Previous Page IconTo Previous Page
Loading...
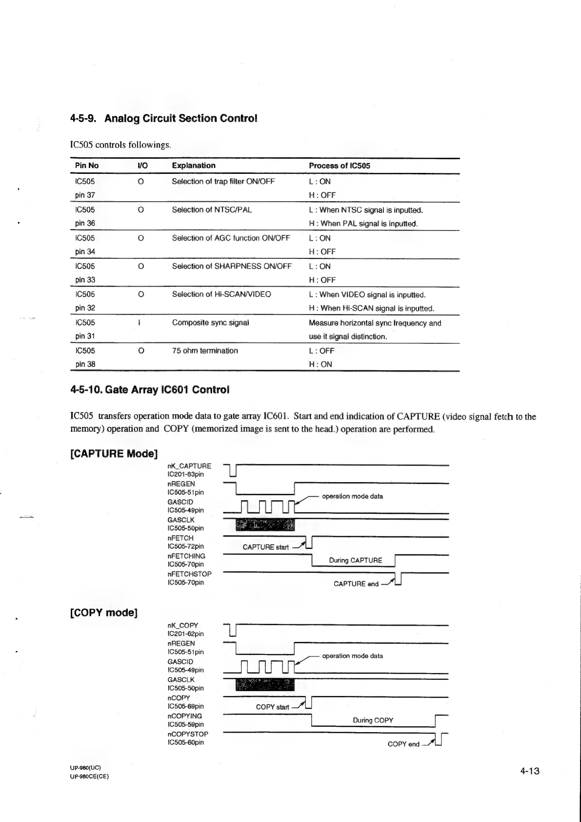
4-5-9.
Analog
Circuit
Section
Control
1C505
controls
followings.
Pin
No
vO
Explanation
Process
of
IC505
IC505
oO
Selection
of
trap
filter
ON/OFF
L:ON
pin
37
H:
OFF
IC505
10)
Selection
of
NTSC/PAL
L:
When
NTSC
signal
is
inputted.
pin
36
H:
When
PAL
signal
is
inputted.
iC505
oO
Selection
of
AGC
function
ON/OFF
L:ON
pin
34
H:
OFF
1C505
oO
Selection
of
SHARPNESS
ON/OFF
L:ON
pin
33
H:
OFF
IC505
1@)
Selection
of
Hi-SCAN/VIDEO
L.:
When
VIDEO
signal
is
inputted.
pin
32
H:
When
Hi-SCAN
signal
is
inputted.
IC505
i
Composite
sync
signal
Measure
horizontal
sync
frequency
and
pin
31
use
it
signal
distinction.
IC505
oO
75
ohm
termination
L:
OFF
pin
38
H:ON
4-5-10.
Gate
Array
1C601
Control
IC505
transfers
operation
mode
data
to
gate
array
1C601.
Start
and
end
indication
of
CAPTURE
(video
signal
fetch
to
the
Memory)
operation
and
COPY
(memorized
image
is
sent
to
the
head.)
operation
are
performed.
[CAPTURE
Mode]
nK_CAPTURE
=
IC201-63pin
nREGEN
mie.
2
ICS505-51pin
1C505-49pin
GASCLK
:
ame
1C505-50pin
Ee
we
nFETCH
a
sane
Sa
CAPTURE
start
nFETCHING
IC505-70pin
During
CAPTURE
nFETCHSTOP
SS
ea
|
IC505-70pin
CAPTURE
end
[COPY
mode]
nK_COPY
“2°
—-—-
.--—
=
1C201-62pin
nREGEN
1C505-51
pin
GASCID
1C505-49pin
issoes0
—————=rti‘“‘i‘<‘<‘i‘(MSCt;C;CCN
IC505-50pin
nCOPY
ea
ae
IC505-69pin
COPY
start
nCOPYING
:
IC505-59pin
During
COPY
nCOPYSTOP
pe
ee
ee
1C505-60pin
COPY
end
UP-980(UC)
UpP-980CE(CE)
|
|
|
|
|
4-13

Table of Contents