EasyManua.ls Logo

Thermo Electron BBD 6220 - 15 Ph-Value of Culture Media

Thermo Electron BBD 6220
45 pages
Print Icon
To Next Page IconTo Next Page
To Next Page IconTo Next Page
To Previous Page IconTo Previous Page
To Previous Page IconTo Previous Page
Loading...
PH-VALUE OF CULTURE MEDIA
42/43
50 079 041
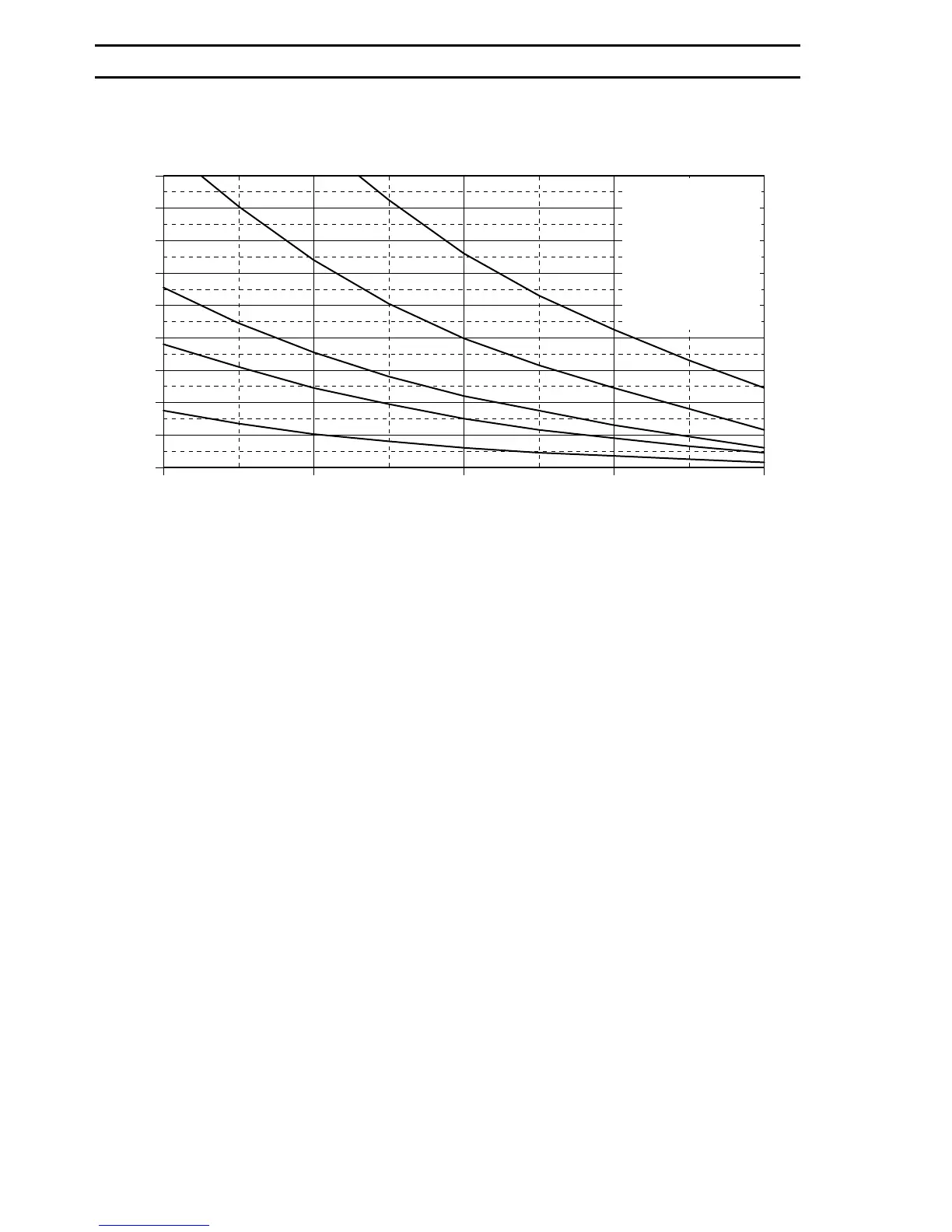
pH-value of culture media
Dependency on the CO2-concentration
6,8 7 7,2 7,4 7,6
0
2
4
6
8
10
12
14
16
18
pH-value
% CO2
Media Na HCO
3
g/l
DMEM 3,70
BME 2,20
MEM 2,20
Medium 199 2,20
Mc Coy 2,20
F 10 1,20
F 12 1,20
MEM 0,85
Media with
Hanks Salts
0,35
3,70
2,20
1,20
0,85
0,35

Table of Contents