EasyManua.ls Logo

Trimec rt11 - Page 23

Trimec rt11
40 pages
Print Icon
To Next Page IconTo Next Page
To Next Page IconTo Next Page
To Previous Page IconTo Previous Page
To Previous Page IconTo Previous Page
Loading...
Page 2
1.1 Model number designation
Page 19
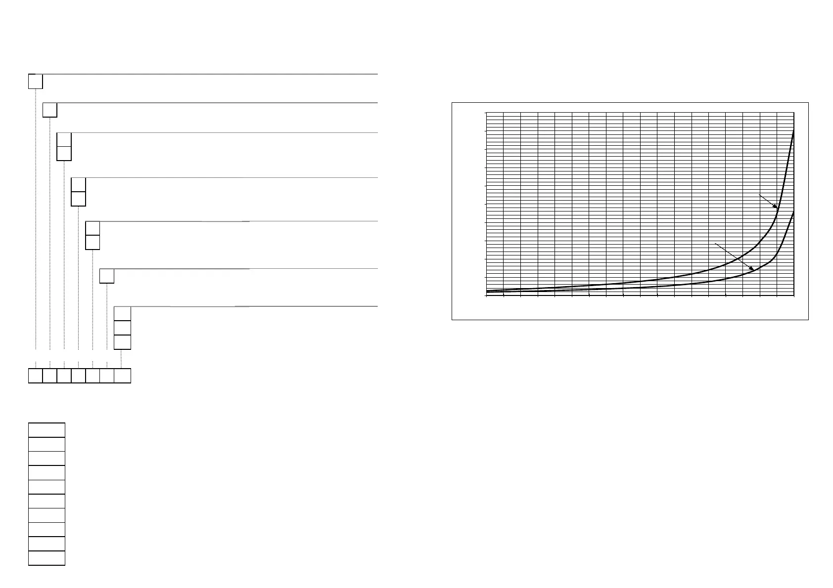
Rate dampening :
Rate dampening value verses time to reach new reading ( for an instantaneous change in
actual flow rate )
Accessories
AWM
Stainless steel wall mount bracket set ( see page 6 )
AMP
Adaptor plate for mounting to MP50 Multipulse PD flowmeter
ADM
Adaptor bush for mounting to Dualpulse series ( M16 x1.5 to M20 x1.5 )
ADN
Adaptor bush for mounting to Dualpulse series ( 3/8 ”NPT to ½ ”NPT )
ATM
Adaptor bush for mounting to Turbopulse series ( ¾”NPT to M20 x1.5 )
ATN
Adaptor bush for mounting to Turbopulse series ( ¾”NPT to ½ ”NPT )
APM
2 ” stainless steel pipe mount kit ( see page 7 )
A99
Customer nominated adaptor
ASS
Stainless Steel sun shade
CIB
Coil input board for Turbine or coil type paddle wheel meters ( see page 8 )
RT
FUNCTION
Rate totaliser
1
SERIES
100 series ( field, panel or meter mount )
CONDUIT ENTRIES
1
3 x M20 x 1.5
2
3 x ½ ” NPT
D
FLOW INPUT TYPE
Digital - pulse or frequency
POWER SUPPLY
0
Internal battery, 8~24vdc or loop powered ( model RT12 )
- 110 - 240vac
* adaptors are supplied separately ( see below )
RT D 1 0 1 2 FM
Model No. example
HOUSING TYPE
FM
Field - panel - meter mount ( adaptors or brackets not included )*
MP,UM & ES series flowmeter mount ( MP50 requires adaptor )*
Specially engineered
MM
99
1
VERSIONS
Scaled pulse output ( std. all models )
2
Loop powered 4~20mA + flow alarms outputs & dual inputs
0
5
10
15
20
25
30
35
40
45
50
5 101520253035404550556065707580859095
RT DAMPENING VALUE
RESPONSE TIME (seconds)
Responce curve
to 99% of actual
reading
Responce curve
to 90% of actual
reading

Related product manuals