EasyManua.ls Logo

Zipro Rook - Page 108

Zipro Rook
Print Icon
To Next Page IconTo Next Page
To Next Page IconTo Next Page
To Previous Page IconTo Previous Page
To Previous Page IconTo Previous Page
Loading...
108
LT
2. TIKRASIS TRENIRUOTĖS ETAPAS
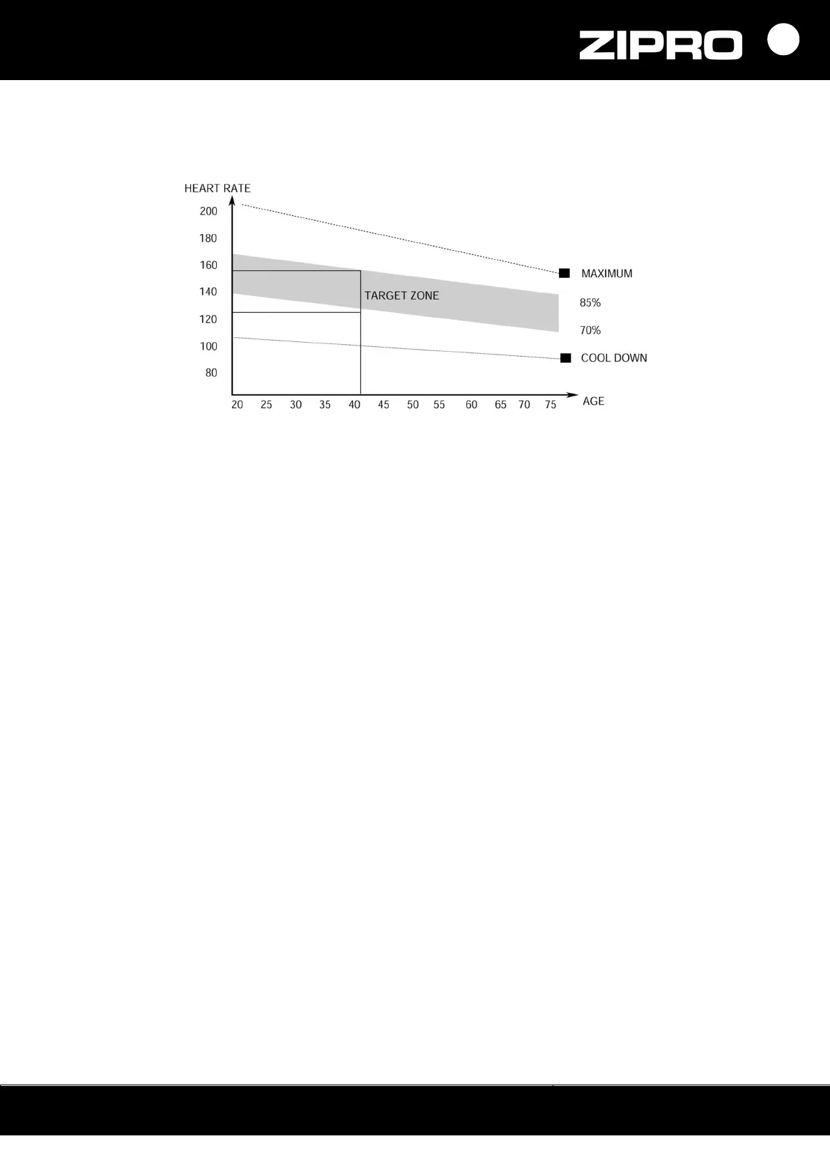
Tai pagrindinė treniruotės dalis. Pasirinkite savo tempą taip, kad būtų pasiektas Jūsų amžių
atitinkantis pulsas (žr. toliau pateiktą iliustraciją).
3. ATSIPALAIDAVIMO ETAPAS
Šis etapas leidžia sulėtinti kraujo apytaką ir atpalaiduoti raumenis. Kartojami apšilimo pratimai.
Nepamirškite, kad raumenys negali būti per daug įtempti.

Related product manuals