EasyManua.ls Logo

Zipro Rook - Page 146

Zipro Rook
Print Icon
To Next Page IconTo Next Page
To Next Page IconTo Next Page
To Previous Page IconTo Previous Page
To Previous Page IconTo Previous Page
Loading...
146
SK
PREDKLONY
Postavte sa so spojenými nohami. Urobte predklon a snažte sa pri tom čo najviac priblížiť
hruď ku kolenám. Vydržte 15 sekúnd. Pamätajte na to, aby ste neohýbali kolena.
2. FÁZA CVIČENIA
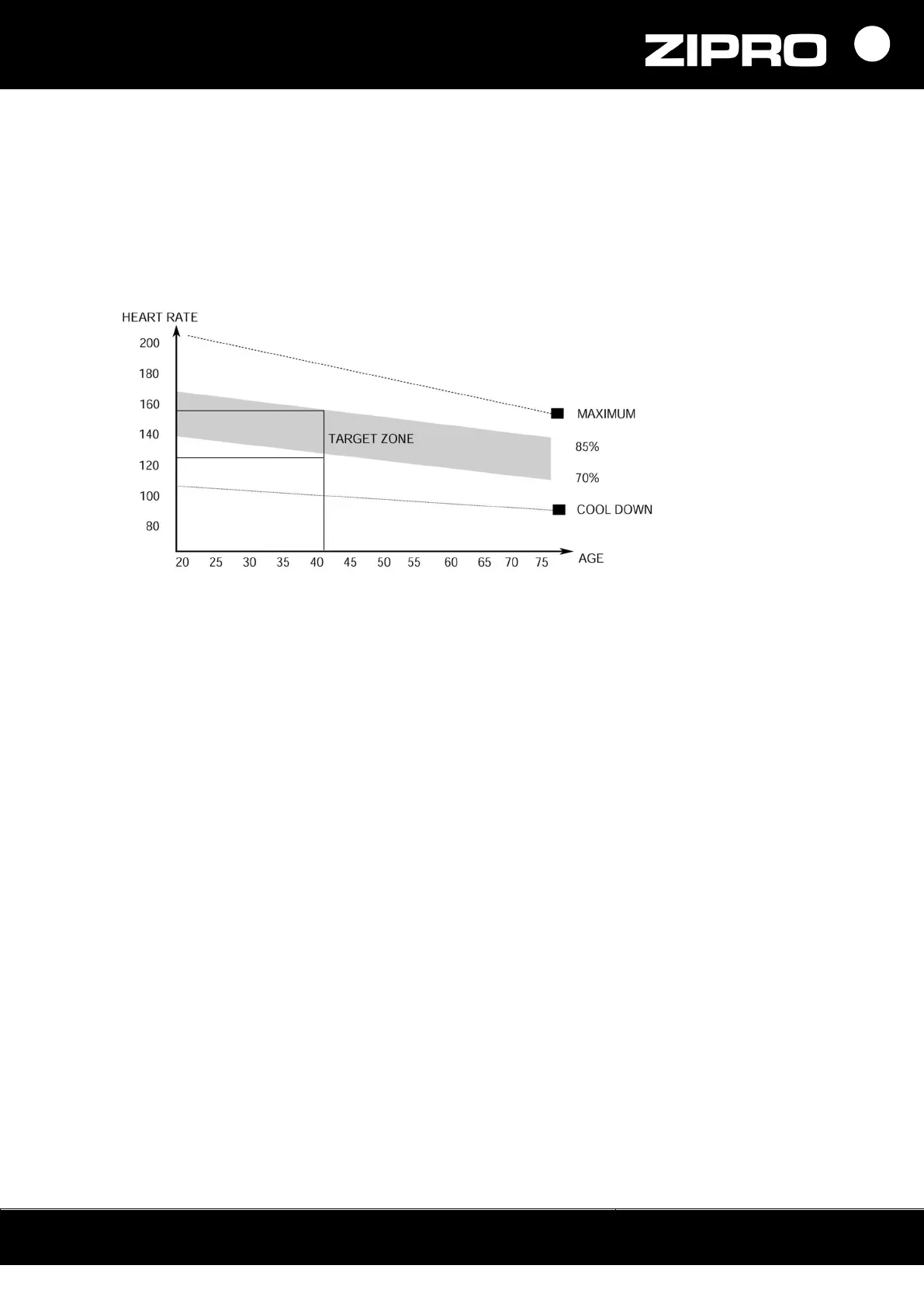
Toto je fáza vlastného tréningu. Cvičte svojim tempom tak, aby ste dosiahli tep vhodný pre svoj
vek, ako je to uvedené na nasledujúcom grafe.
3. ODDYCHOVÁ FÁZA
Tato fáza umožňuje upokojenie krvného obehu a uvoľnenie svalov. Je to opakovanie rozcvičky.
Je treba pamätať na to, aby ste nepreťažovali svaly.

Related product manuals