EasyManua.ls Logo

Zipro Rook - Page 89

Zipro Rook
Print Icon
To Next Page IconTo Next Page
To Next Page IconTo Next Page
To Previous Page IconTo Previous Page
To Previous Page IconTo Previous Page
Loading...
89
RO
cutia toracică de genunchi. Rezistaţi timp de 15 secunde. Reţineţi că nu trebuie să îndoiţi
genunchii.
2. FAZĂ EXERCIŢII
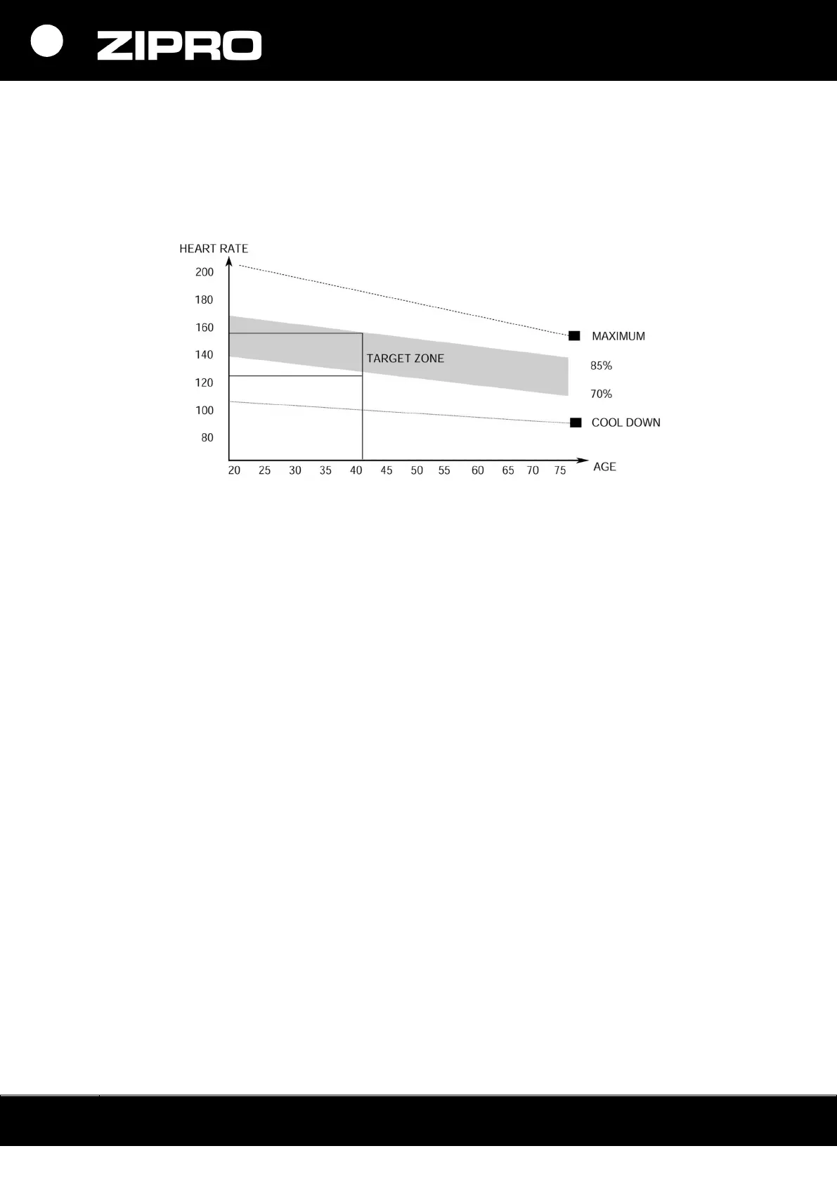
Aceasta este faza propriu-zisă a antrenamentului. Antrenaţi-vă în propriul ritm astfel încât să
atingeţi pulsul adecvat pentru vârsta dumneavoastră cum este indicat în diagrama de mai jos.
3. FAZĂ RELAX
Această fază vă permite să liniştiţi circulaţia şi să relaxaţi muşchii. Constă în repetarea exerciţiilor
de încălzire.
Trebuie să aveţi grijă să nu suprasolicitaţi muşchii.

Related product manuals