EasyManua.ls Logo

ABB PSTX - PSTX Soft Starter Function Code Changes; Troubleshooting

ABB PSTX
24 pages
Print Icon
To Next Page IconTo Next Page
To Next Page IconTo Next Page
To Previous Page IconTo Previous Page
To Previous Page IconTo Previous Page
Loading...
16 PSTX ENCLOSED SOFT STARTER
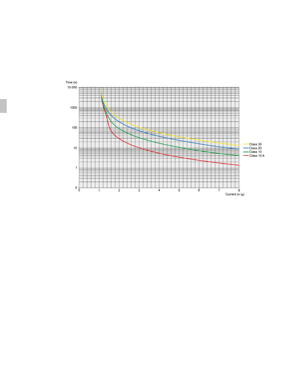
Tripping curves for electronic overload protection (cold) for PSTX
Tripping curves for the integrated electronic overload protection. All units have an integrated electronic
overload protection that can be set to four different tripping classes. Below you will find a curve for each
tripping class in cold state. These tripping curves are valid for PSTX.
4. PSTX soft starter function code changes
The PSTX soft starter has programmable functions.
A complete description of these function codes
can be found in the 1SFC132082M9901 PSTX user’s
guide. The PSTX unit will come with factory default
settings.
5. Troubleshooting
Motor rotation in soft starter and bypass mode
If careful attention to phase rotation is not paid
during connection of the panel to the three-phase
power supply and motor, only a one in four chance
exists that the motor will rotate correctly in both
soft starter and bypass modes.
The other three possibilities and the corresponding
corrective actions are as follows:
Problem: Motor turns correctly in bypass mode
and incorrectly in soft starter mode.
Solution: Swap two of three line power leads
connected to the PSTX’s load side power
terminals (i.e., 2T1, 4T2, 6T3). Do not change
any other wiring.
Problem: Motor turns correctly in soft starter
mode and incorrectly in bypass mode.
Solution: Swap two of three line power leads.
Problem: Motor turns incorrectly in both modes.
Solution: Swap two of three motor leads.
Note that if the rotation in bypass mode is opposite
to the rotation in soft starter mode, it is possible
that the panel’s motor overload will trip if a full-
speed transition between modes is attempted.
This is due to the large amount of current required
to decelerate the motor to a stop prior to
accelerating it in the correct direction.
Circuit breaker trip level
Possible corrective actions are:
1. Check the trip setting in the breaker rating.
2. Make sure an actual short is not causing
the trip.
3. Try closing the breaker several times. Actual
inrush is dependent on line conditions when the
breaker is closed. Closing the breaker when line
conditions are acceptable should prevent
tripping.
03

Related product manuals