EasyManua.ls Logo

Allied 4DHV Mini-Split Series - Error Codes and Troubleshooting; Error Code P4 Diagnosis

Allied 4DHV Mini-Split Series
75 pages
Print Icon
To Next Page IconTo Next Page
To Next Page IconTo Next Page
To Previous Page IconTo Previous Page
To Previous Page IconTo Previous Page
Loading...
508067-01Issue 2016Page 72 of 75
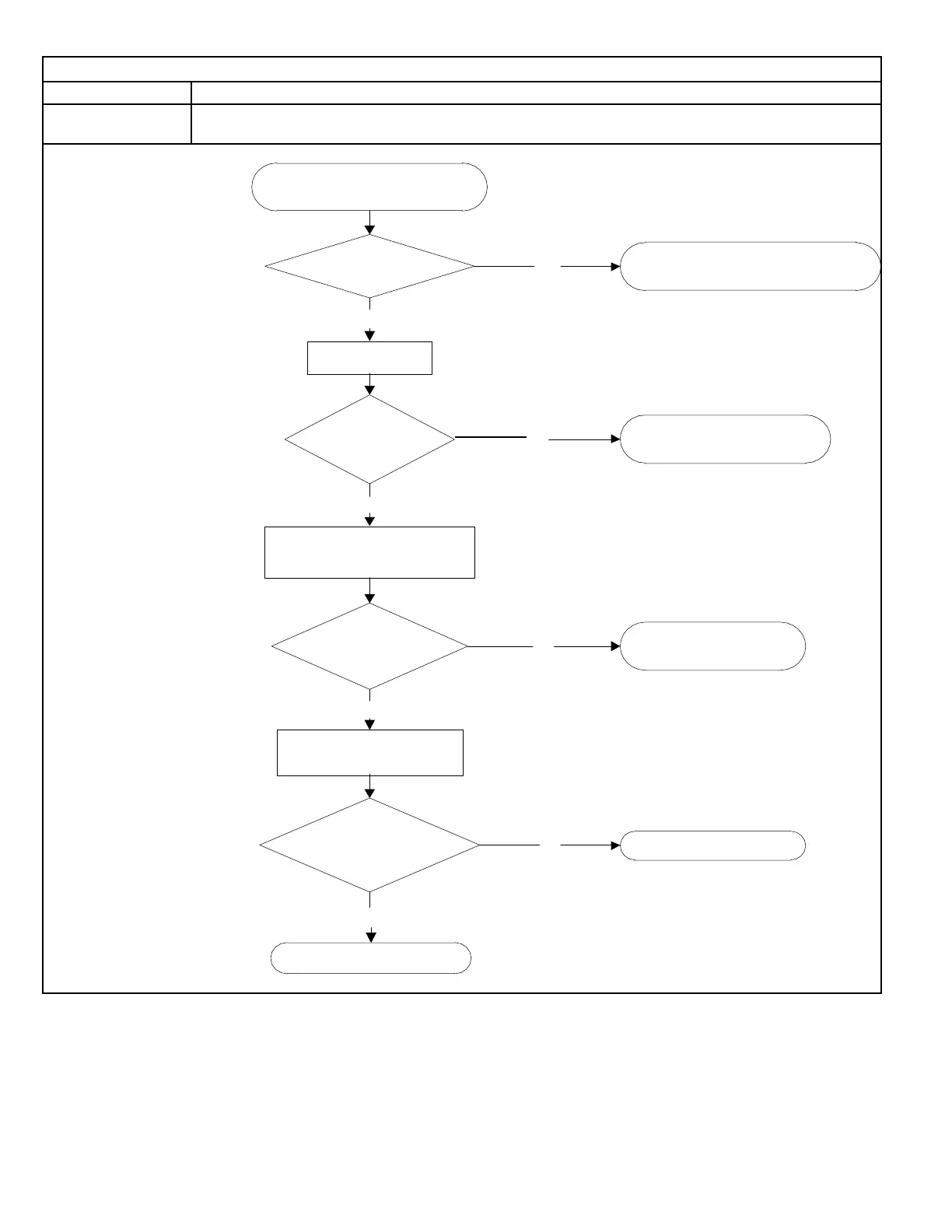
Error Code: P4
Description: Inverter Compressor Drive Error Diagnosis and Solution
General Note: An abnormal inverter compressor drive is detected by a special detection circuit, including communication
signal detection, voltage detection, compressor rotation speed signal detection and so on.
NO
NO
YES
NO
YES
NO
YES
Replace the outdoor PCB.
Check the IPM.
Check the compressor
resistance values.
Check the wiring between the
PCB and compressor.
Is it improperly wired?
Ensure proper connecons or replace
the wires and connectors.
Is it funconing
properly?
Replace the IPM board or
replace the outdoor PCB.
Is it funconing
properly?
Check the outdoor fan and
the outdoor unit venlaon.
Please refer to “Fan
Speed Malfuncon”
Are they within
acceptable parameters?
Replace the compressor.

Related product manuals