EasyManua.ls Logo

AP TC5-2V2SA - Temperature Curve

AP TC5-2V2SA
60 pages
Print Icon
To Next Page IconTo Next Page
To Next Page IconTo Next Page
To Previous Page IconTo Previous Page
To Previous Page IconTo Previous Page
Loading...
20
TC5-2V2SA.rev.05
TC5-2V2SA
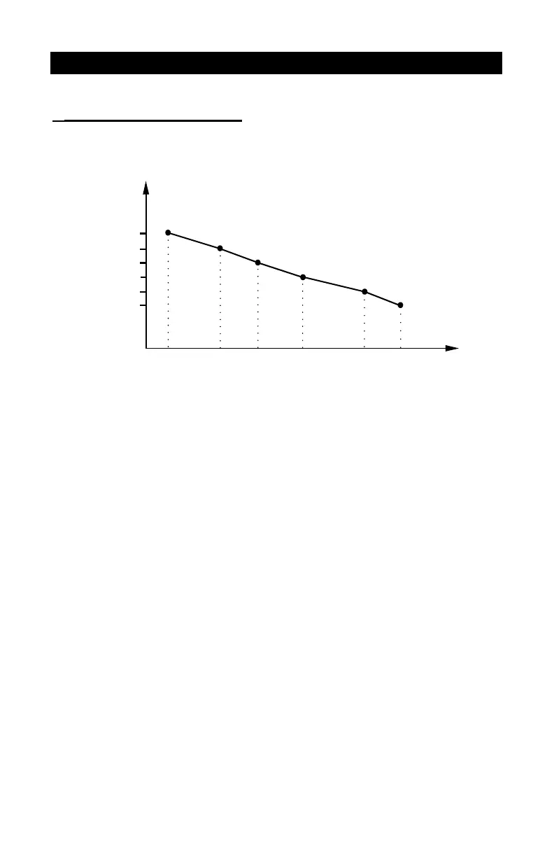
The user can define a temperature curve to adjust the set point automatically
over a given time period.
A curve is defined using six points. Each point specifies a day number and
a set point for that day. Once the points of the curve are defined, the curve
must be activated. The controller will change the temperature set point every
hour in a linear fashion between consecutive points of the curve. When the
last point of the curve is reached, the temperature set point for that day is
maintained until the curve is reactivated.
NOTES :
i) All six points of the curve must be specified. If six points are not needed,
repeat the last temperature value for each unnecessary point.
ii) Certain restrictions apply to reduce the risk of errors:
The highest possible day number is 99.
Decreasing day numbers are not allowed.
Increasing temperatures are not allowed.
The temperature variation cannot exceed 3°F (1.6°C) per day.
TEMPERATURE CURVE
Temperature
Days
T
o
1
T
o
2
T
o
3
T
o
4
T
o
5
T
o
6
d4
d25
d35 d50
d70
d80