EasyManua.ls Logo

ARH FREEWAYCAM3 - Page 30

ARH FREEWAYCAM3
99 pages
Print Icon
To Next Page IconTo Next Page
To Next Page IconTo Next Page
To Previous Page IconTo Previous Page
To Previous Page IconTo Previous Page
Loading...
Page 30/99
FREEWAYCAM3/SMARTCAM3/SPEEDCAM3
User Manual
Adaptive Recognition America
Adaptive Recognition Hungary
Adaptive Recognition Nordic
Adaptive Recognition Singapore
SENDINFO@ARH.HU
WWW.ADAPTIVERECOGNITION.COM
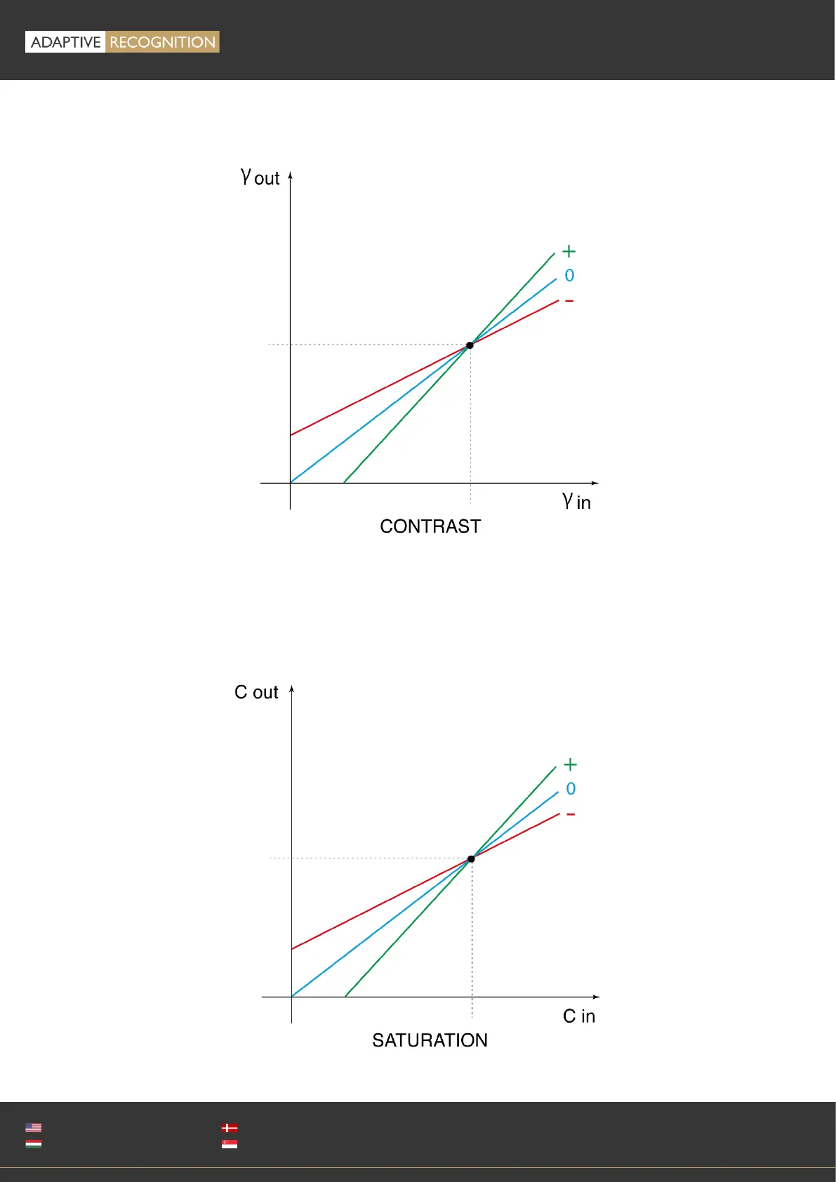
Contrast: Increase/decrease the luminance contrast of the image
Saturation: Increase/decrease the chrominance contrast of the image

Other manuals for ARH FREEWAYCAM3