EasyManua.ls Logo

ARH FREEWAYCAM3 - Page 34

ARH FREEWAYCAM3
99 pages
Print Icon
To Next Page IconTo Next Page
To Next Page IconTo Next Page
To Previous Page IconTo Previous Page
To Previous Page IconTo Previous Page
Loading...
Page 34/99
FREEWAYCAM3/SMARTCAM3/SPEEDCAM3
User Manual
Adaptive Recognition America
Adaptive Recognition Hungary
Adaptive Recognition Nordic
Adaptive Recognition Singapore
SENDINFO@ARH.HU
WWW.ADAPTIVERECOGNITION.COM
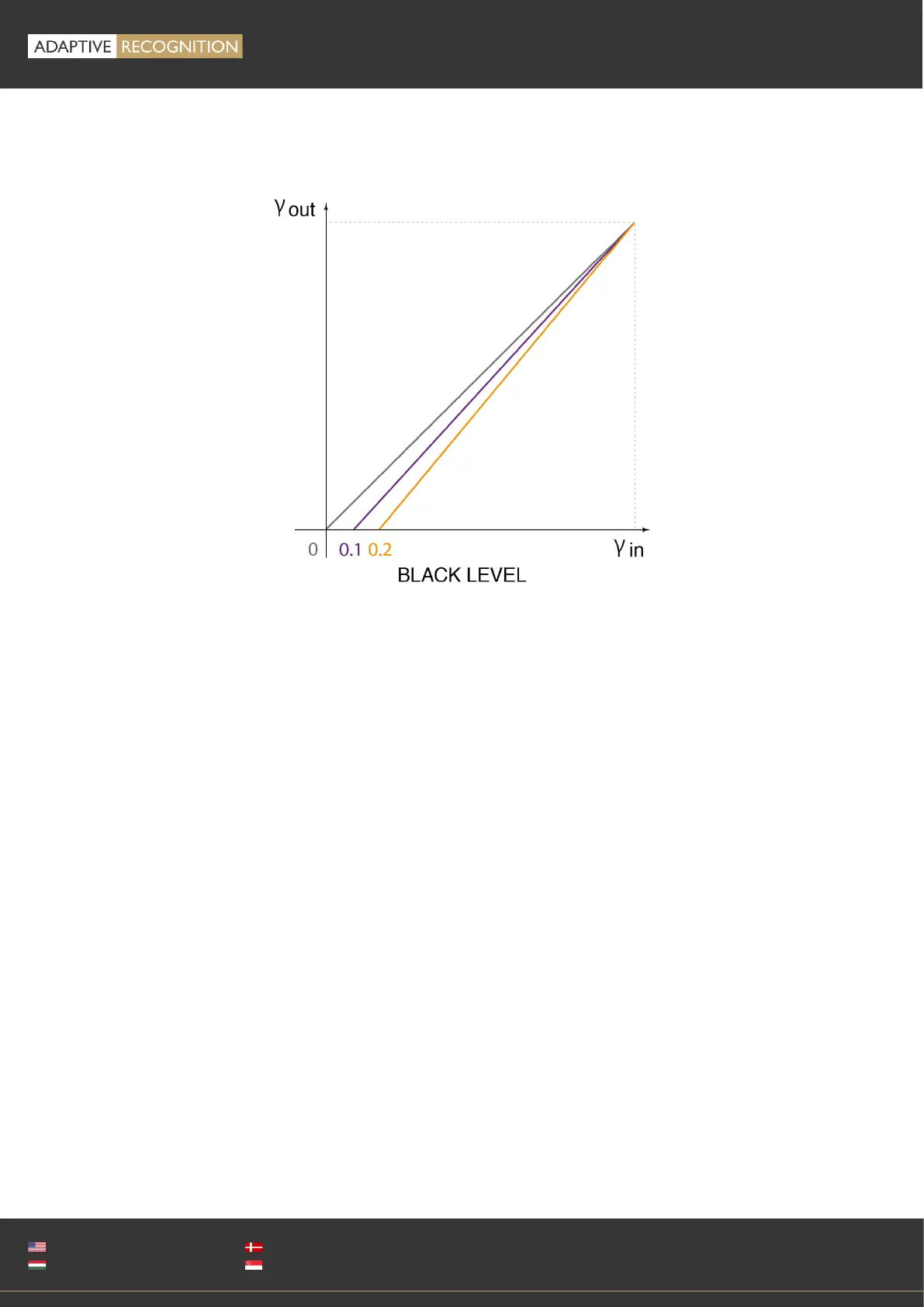
Black level: Defines the pixel value below which all pixels will be mapped to black

Other manuals for ARH FREEWAYCAM3