EasyManua.ls Logo

ATP Electronics Piper Archer - Page 40

ATP Electronics Piper Archer
60 pages
Print Icon
To Next Page IconTo Next Page
To Next Page IconTo Next Page
To Previous Page IconTo Previous Page
To Previous Page IconTo Previous Page
Loading...
36 • Arrival Procedures
Within 30 NM of the airport, if ying a GPS approach, the GPS will display
“TERM.”
2. When Direct To IAF or on vectors, set the desired course on the CDI.
3. Complete the Approach Checklist.
4. Slow to 90 KIAS when on a published segment of the approach or if on
vectors.
At 2 NM prior to the FAF on a GPS approach, verify green APCH ag on GPS. If no
ag appears, DO NOT DESCEND at the FAF.
5. At FAF, complete Before Landing Checklist – Flaps 10° – Slow to 80
KIAS.
6. At FAF: start time if required.
7. Descend at 400-500 FPM (unless steeper descent required) at 80 KIAS.
8. Announce at 100’ above MDA: “100 to go.
9. Increase power 50’ prior to reaching MDA to maintain 80 KIAS
at level o.
10. “Minimums.”
11. Maintain MDA (plus 50’, minus 0’).
12. Runway in sight: descend at predetermined VDP or maintain
MDA to MAP.
13. Do not leave MDA until landing can be accomplished using a stabilized
descent angle and normal maneuvers.
14. When descending from MDA: Flaps 25° - 70 KIAS.
15. When landing assured, slow to 66 KIAS until the roundout.
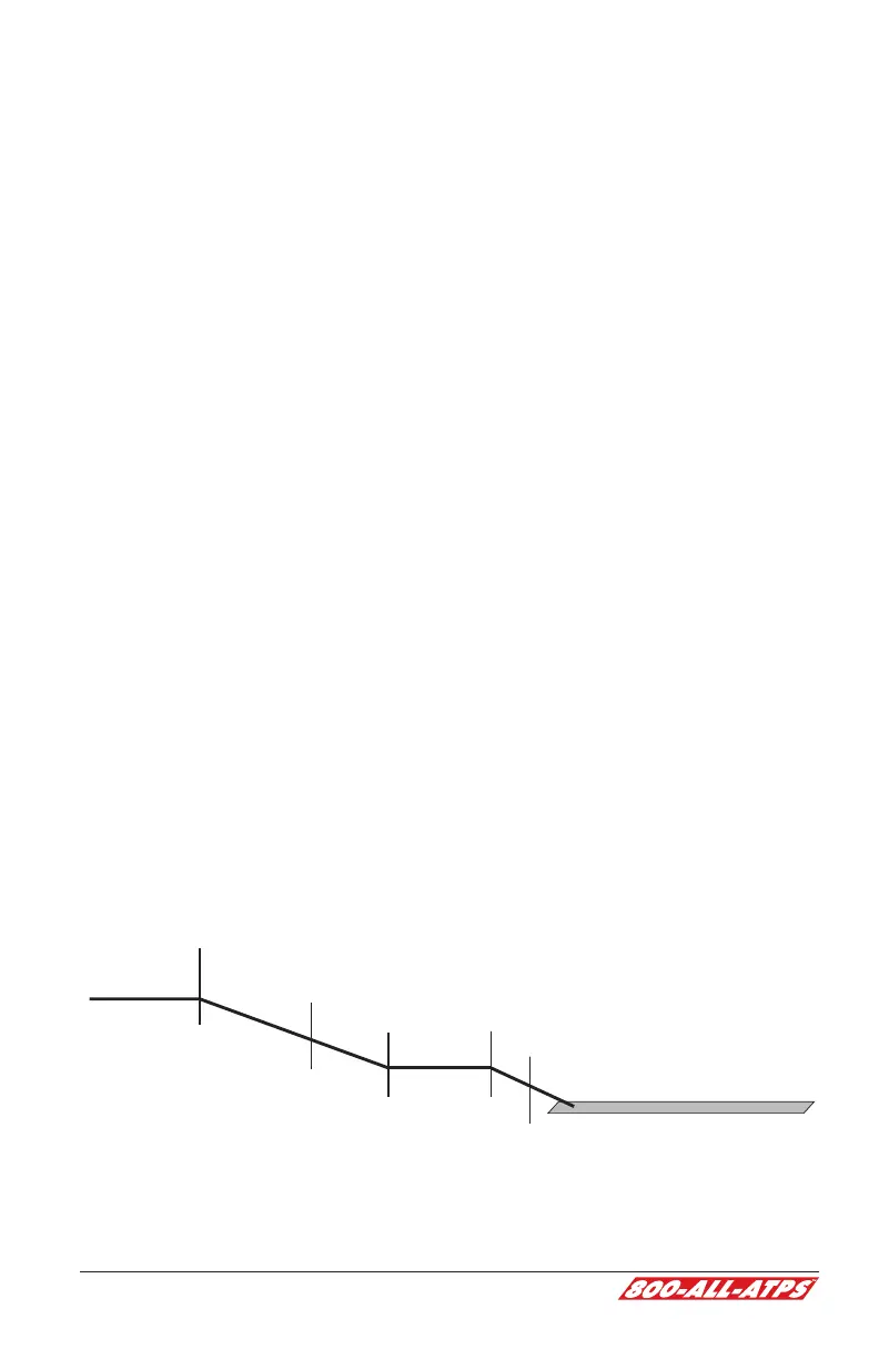
Non-Precision Approach & Landing Prole
Start Time if Required
“Before Landing Checklist”
Reduce Power
Select Flaps 10°
90 KIAS
80 KIAS
400-500 FPM
80 KIAS
100’ Above MDA
MDA
(plus 50’, minus 0)
Leaving MDA
Landing Assured
FAF
“100 to go
“Minimums”
Slow to 66 KIAS
Select Flaps 25°
Stabilized Descent at 70 KIAS

Table of Contents