EasyManua.ls Logo

AUTO GYRO CAVALON - SECTION 5 - PERFORMANCE

AUTO GYRO CAVALON
147 pages
Print Icon
To Next Page IconTo Next Page
To Next Page IconTo Next Page
To Previous Page IconTo Previous Page
To Previous Page IconTo Previous Page
Loading...
Flight Manual
Cavalon
SECTION 5
PERFORMANCE
RSUK0287_POH_Cavalon Revision 2, Issue Date 24.06.2015 5-1
PERFORMANCE
SECTION 5 -
The following data were determined by flight testing and demonstrated with average piloting
skills, with engine and aircraft in good condition, as well as clean main rotor and propeller.
The parameters apply to standard conditions (15 °C at sea level and standard pressure)
and a gross mass of 500 kg. Note that operation at 560kg MTOW, a higher airfield
elevation, increased temperature and low air pressure will have a negative effect on
performance.
5.1 Demonstrated Operating Temperature
Satisfactory engine cooling has been demonstrated at outside air temperatures up to 40 °C.
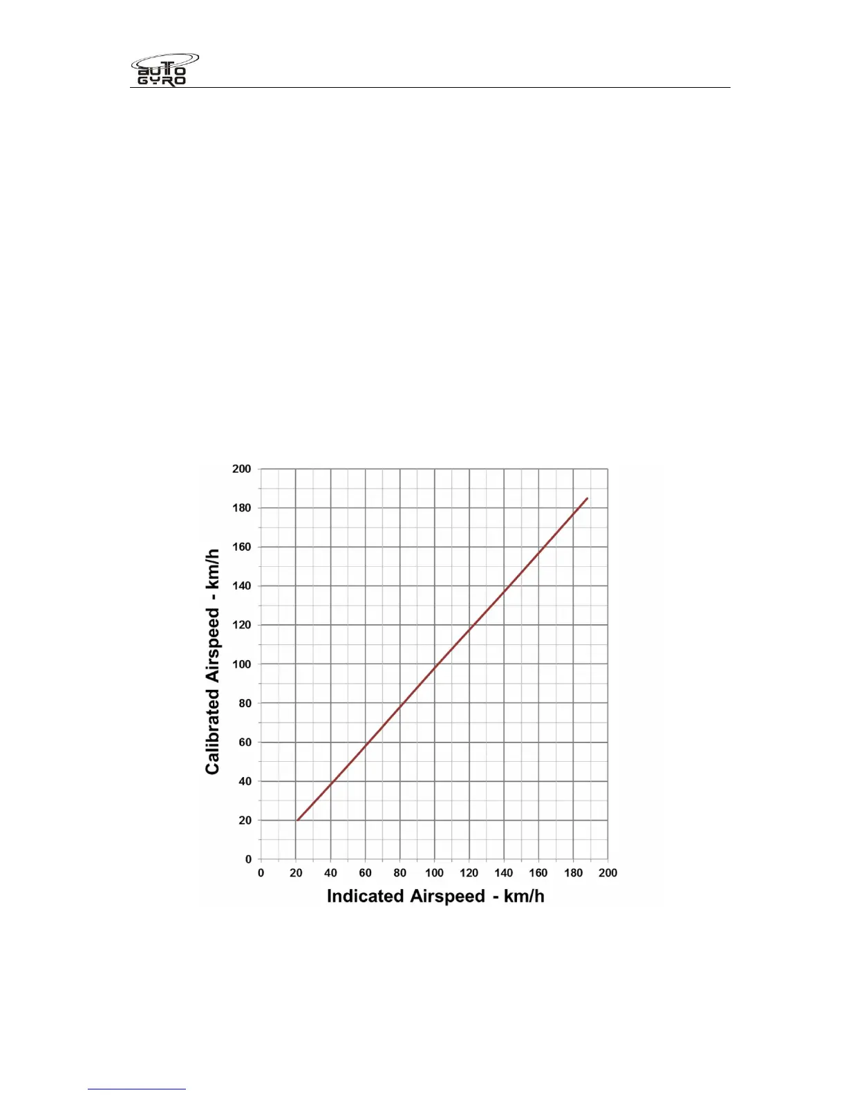
5.2 Airspeed Correction
Example: Indicated airspeed of 140 km/h represents a calibrated airspeed (corrected for
installation error) of 138 km/h.

Table of Contents

Other manuals for AUTO GYRO CAVALON