EasyManua.ls Logo

AutoGyro Calidus - Section 5: Performance; Demonstrated Operating Temperature and Airspeed Correction

AutoGyro Calidus
185 pages
Print Icon
To Next Page IconTo Next Page
To Next Page IconTo Next Page
To Previous Page IconTo Previous Page
To Previous Page IconTo Previous Page
Loading...
Pilot Operating Handbook
Calidus
SECTION 5
PERFORMANCE
AutoGyro_POH_Calidus Revision 4.0 Issue Date 17.JAN.2019 5-1
SECTION 5 - PERFORMANCE
The following data were determined by flight testing and demonstrated with average piloting
skills, with engine and aircraft in good condition, as well as clean main rotor and propeller.
The parameters apply to standard conditions (15 °C at sea level and standard pressure)
and a gross mass of 500 kg (or 560Kg, as shown).
Note that a higher airfield elevation, increased temperature, low air pressure and/or a take-
off mass above 560 kg will have a negative effect on performance.
5.1 Demonstrated Operating Temperature
Satisfactory engine cooling has been demonstrated at outside air temperatures up to 40 °C.
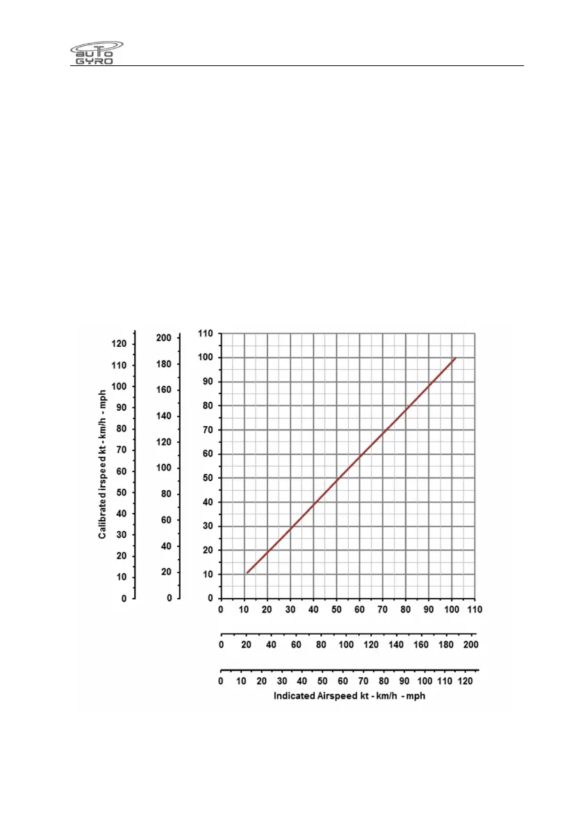
5.2 Airspeed Correction
Example: Indicated airspeed of 140 km/h represents a calibrated airspeed (corrected for
installation error) of 138 km/h.

Table of Contents