EasyManua.ls Logo

Basler Scout - Page 27

Basler Scout
300 pages
Print Icon
To Next Page IconTo Next Page
To Next Page IconTo Next Page
To Previous Page IconTo Previous Page
To Previous Page IconTo Previous Page
Loading...
Specifications, Requirements, and Precautions
Basler scout 17
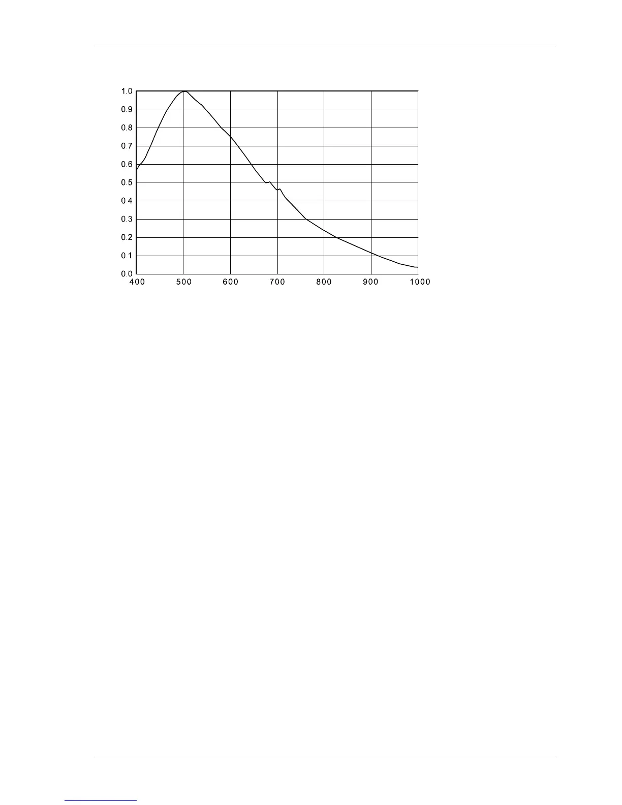
Fig. 10: scA1600-14fm and scA1600-28fm Spectral Response
Wave Length (nm)
Relative Response

Table of Contents

Related product manuals