EasyManua.ls Logo

Buderus RC30 - 2 Understanding Your Heating System; RC30 Operation and Heating Curves

Buderus RC30
88 pages
Print Icon
To Next Page IconTo Next Page
To Next Page IconTo Next Page
To Previous Page IconTo Previous Page
To Previous Page IconTo Previous Page
Loading...
What you should know about your heating system 2
5
We reserve the right to make any changes due to technical modifications.
Operating instructions RC30 programmable room thermostat • Issue 02/2006
2 What you should know about your heating system
2.1 How does the RC30 work?
The RC30 ensures comfortable heat and economical consumption
of fuel and electricity. It switches the boiler and pumps ON if DHW
(domestic hot water) or a higher room temperature are required.
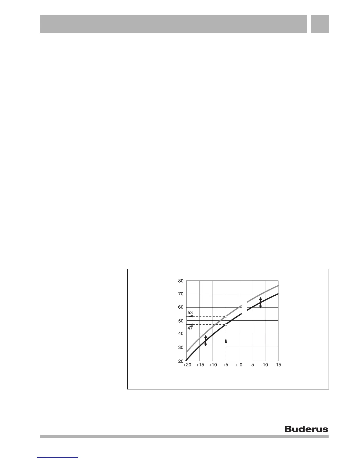
Modern heating control units calculate the temperature required
within the boiler (the so-called flow temperature) subject to the
outside temperature and the desired room temperature (set
temperature). The relationship between the outside temperature
and the flow temperature is described as the heating curve. The
lower the outside temperature, the higher the flow temperature
must be to achieve the required room temperature.
For example, if you increase the set room temperature by 2 °C, the
heating curve is raised in parallel. This increases the flow
temperature by around 6 Kelvin (one Kelvin corresponds to one
degree Celsius).
The gradient of the heating curve depends on the type of heating
system (e.g. radiators or underfloor heating). This will be
determined by your installer during the commissioning process.
Fig. 1 Heating curve (example), before (1) and after (2) increasing the
set room temperature by 2 °C
Outside temperature in °C
Flow temperature in °C
2
1

Table of Contents

Related product manuals