EasyManua.ls Logo

Cessna 1973 172 - Tire Pressures and Shock Strut

Cessna 1973 172
77 pages
Print Icon
To Next Page IconTo Next Page
To Next Page IconTo Next Page
To Previous Page IconTo Previous Page
To Previous Page IconTo Previous Page
Loading...
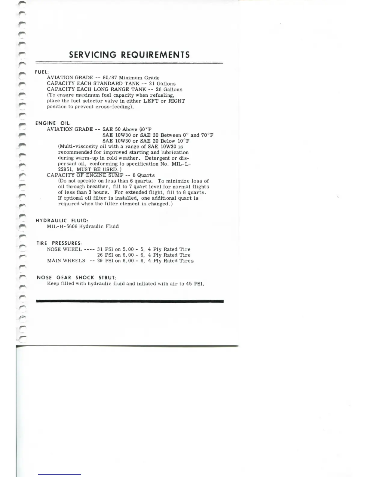
SERVICING
REQUIREMENTS
^
FUEL:
Z
.
AVIATION GRADE
--
80/87
Minimum
Grade
^ CAPACITY EACH STANDARD TANK
-
-21
Gallons
CAPACITY EACH LONG RANGE TANK
-- 26
Gallons
^
(To
ensure
maximum fuel
capacity
when refueling,
place
the
fuel
selector
valve
in
either LEFT
or
RIGHT
^ position
to
prevent
cross-feeding).
ENGINE
OIL:
AVLA.TION
GRADE
SAE 50
Above
60°F
SAE
10W30
or
SAE
30
Between
0°
and
70°F
SAE
10W30
or
SAE
20
Below
10
°F
(Multi-viscosity
oil
with
a
range
of
SAE
10W30
is
recommended
for
improved starting
and
lubrication
during
warm-up
in
cold
weather. Detergent
or
dis-
persant oil, conforming
to
specification
No.
MIL-L-
22851, MUST
BE
USED.)
CAPACITY
OF
ENGINE SUMP
-- 8
Quarts
(Do
not
operate
on
less
than
6
quarts.
To
minimize
loss
of
oil
through breather,
fill
to 7
quart level
for
normal flights
of
less
than
3
hours.
For
extended
flight,
fill
to 8
quarts.
If
optional
oil
filter
is
installed,
one
additional quart
is
required when
the
filter
element
is
changed.)
HYDRAULIC
FLUID:
MIL-H-5606 Hydraulic
Fluid
TIRE
PRESSURES:
NOSE
WHEEL
31
PSI
on 5.00 - 5, 4 Ply
Rated Tire
26
PSI
on 6.
00-6,
4 Ply
Rated Tire
MAIN
WHEELS
-- 29
PSI
on 6.00 - 6, 4 Ply
Rated Tires
NOSE
GEAR
SHOCK
STRUT:
Keep
filled
with
hydraulic
fluid
and
inflated
with
air
to 45
PSI.

Table of Contents

Related product manuals