EasyManua.ls Logo

Christopeit Sport Basic Concept - Page 10

Christopeit Sport Basic Concept
Print Icon
To Next Page IconTo Next Page
To Next Page IconTo Next Page
To Previous Page IconTo Previous Page
To Previous Page IconTo Previous Page
Loading...
10
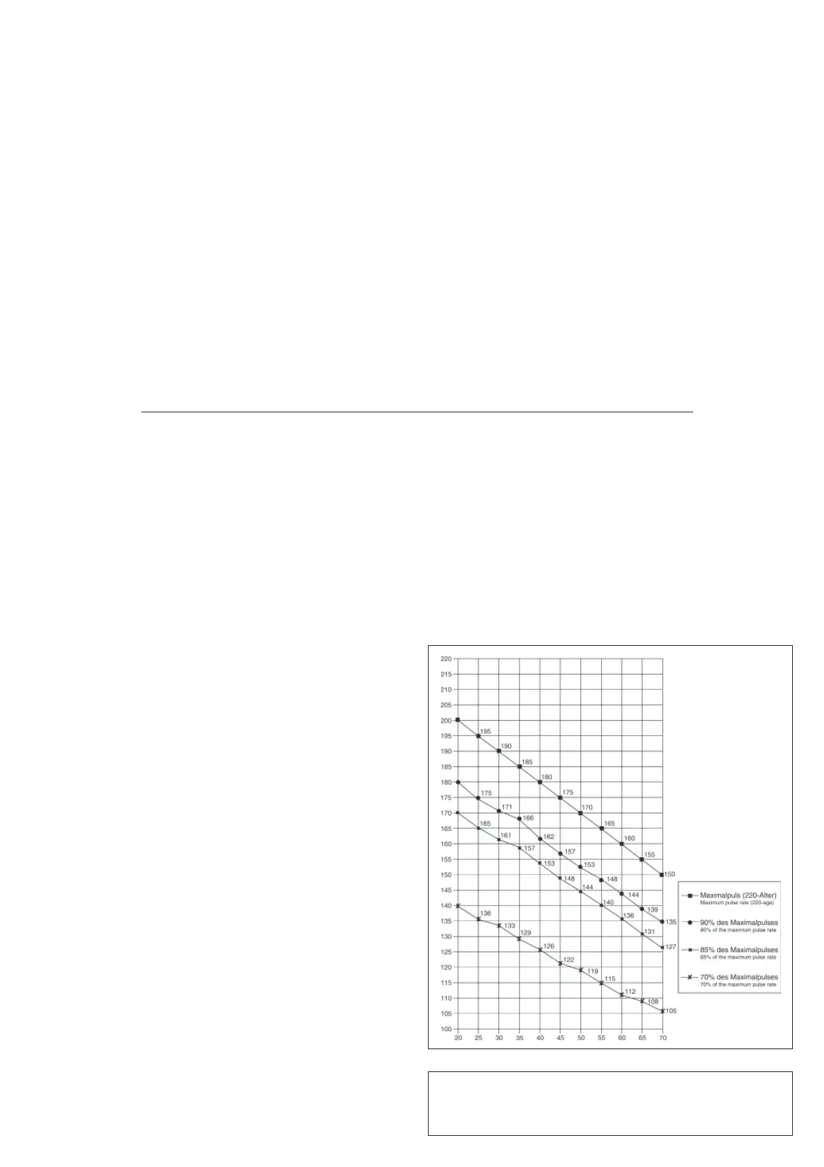
Berechnungsformeln: Maximalpuls = 220 - Alter
90% des Maximalpuls = (220 - Alter) x 0,9
85% des Maximalpuls = (220 - Alter) x 0,85
70% des Maximalpuls = (220 - Alter) x 0,7
Trainingsanleitung
Um spürbare körperliche und gesundheitliche Verbesserungen zu erreichen,
müssen für die Bestimmung des erforderlichen Trainingsaufwandes die
folgenden Faktoren beachtet werden:
1. Intensität:
Die Stufe der körperlichen Belastung beim Training muß den Punkt der
normalen Belastung überschreiten, ohne dabei den Punkt der Atemlosigkeit
und /oder der Erschöpfung zu erreichen. Ein geeigneter Richtwert für ein
effektives Training kann dabei der Puls sein. Dieser sollte sich während
des Trainings in dem Bereich zwischen 70% und 85% des Maximalpulses
befi nden (Ermittlung und Berechnung siehe Tabelle und Formel).
Während der ersten Wochen sollte sich der Puls während des Trainings im
unteren Bereich von 70% des Maximalpulses befi nden. Im Laufe der dar-
auffolgenden Wochen und Monate sollte die Pulsfrequenz langsam bis zur
Obergrenze von 85% des Maximalpulses gesteigert werden. Je größer die
Kondition des Trainierenden wird, desto mehr müssen die Trainingsanforde-
rungen gesteigert werden, um in den Bereich zwischen 70% und 85% des
Maximalpulses zu gelangen. Dieses ist durch eine Verlängerung der Trai-
ningsdauer und/oder einer Erhöhung der Schwierigkeitsstufen möglich.
Wird die Pulsfrequenz nicht in der Computeranzeige angezeigt oder wollen
Sie sicherheitshalber Ihre Pulsfrequenz, die durch eventuelle Anwendungs-
fehler o.ä. falsch angezeigt werden könnte, kontrollieren, können Sie zu
folgenden Hilfsmitteln greifen:
a. Puls-Kontroll-Messung auf herkömmliche Weise (Abtasten des Pulsschla-
ges z.B. am Handgelenk und zählen der Schläge innerhalb einer Minute).
b. Puls-Kontroll-Messung mit entsprechend geeigneten und geeichten Puls-
Mess-Geräten (im Sanitäts- Fachhandel erhältlich).
2. Häufi gkeit:
Die meisten Experten empfehlen die Kombination einer gesundheitsbewuß-
ten Ernährung, die entsprechend dem Trainingsziel abgestimmt werden muß,
und körperlicher Ertüchtigungen drei- bis fünfmal in der Woche.
Ein normaler Erwachsener muß zweimal pro Woche trainieren, um seine
derzeitige Verfassung zu erhalten. Um seine Kondition zu verbessern und
sein Körpergewicht zu verändern, benötigt er mindestens drei Trainingsein-
heiten pro Wochen. Ideal bleibt natürlich eine Häufi gkeit von fünf Trainings-
einheiten pro Woche.
3. Gestaltung des Trainings
Jede Trainingseinheit sollte aus drei Trainingsphasen bestehen:
„Aufwärm-Phase“, „Trainings-Phase“ und „Abkühl-Phase“.
In der „Aufwärm-Phase“ soll die Körpertemperatur und die Sauerstoffzufuhr
langsam gesteigert werden. Dieses ist durch gymnastische Übungen über
eine Dauer von fünf bis zehn Minuten möglich.
Danach sollte das eigentliche Training („Trainings-Phase“) beginnen. Die
Trainingsbelastung sollte erst einige Minuten gering sein und dann für eine
Periode von 15 bis 30 Minuten so gesteigert werden, daß sich der Puls im
Bereich zwischen 70% und 85% des Maximalpulses befi ndet.
Um den Kreislauf nach der „Trainings-Phase“ zu unterstützen und einem
Muskelkater oder Zerrungen vorzubeugen, muß nach der „Trainings-Phase“
noch die „Abkühl-Phase“ eingehalten werden. In dieser sollten, fünf bis zehn
Minuten lang, Dehnungsübungen und/oder leichte gymnastische Übungen
durchgeführt werden.
4. Motivation
Der Schlüssel für ein erfolgreiches Programm ist ein regelmäßiges Training.
Sie sollten sich einen festen Zeitpunkt und Platz pro Trainingstag einrichten
und sich auch geistig auf das Training vorbereiten. Trainieren Sie nur gut
gelaunt und halten Sie sich stets Ihr Ziel vor Augen. Bei kontinuierlichem
Training werden Sie Tag für Tag feststellen, wie Sie sich weiterentwickeln
und Ihrem persönlichen Trainingsziel Stück für Stück näher kommen.
Schritt 10:
Kontrolle
1. Alle Verschraubungen und Steckverbindungen auf ordnungsgemäße
Montage und Funktion prüfen.
Die Montage ist hiermit beendet.
2. Vor dem Trainingsbeginn darauf achten, dass die empfohlenen Si-
cherheitsabstände zu anderen Gegenständen eingehalten sind. Um
eine bestimmte Position des Gerätes sichern zu können, kann das
Gerät mittels selbst zu besorgender Schrauben und Dübeln fest mit
dem Boden verbunden werden. Dazu sind in den Füßen (1) und (8)
Bohrungen eingefügt worden.
3. Wenn alles in Ordnung ist, mit leichten Widerstandseinstellungen mit
dem Gerät vertraut machen und die individuellen Einstellungen vor-
nehmen.
4. Darauf achten, dass die vorgegebenen, maximalen Gewichtsbestük-
kungen nicht überschritten werden.
Lanhantelablage : max. 100 kg
Butterfl yarm : max. 30 kg pro Arm
Beincurler : max. 30 kg
Curlpult : max. 50 kg
Latissimus : max. 60 kg
Anmerkung:
Bitte das Werkzeug-Set und die Anleitung sorgsam aufbewahren, da diese
bei ggf. später einmal erforderlichen Reparaturen bzw. Ersatzteilbestellungen
benötigt werden.
Garantiebestimmungen
Die Garantie beginnt mit dem Rechnungs- bzw. Auslieferdatum und beträgt
24 Monate.
Während der Garantiezeit werden eventuelle Mängel kostenlos beseitigt. Bei
Feststellung eines Mangels sind Sie verpfl ichtet diesen unverzüglich dem
Hersteller zu melden. Es steht im Ermessen des Herstellers die Garantie
durch Ersatzteilversand oder Reparatur zu erfüllen.
Die Garantieleistung gilt nur für Material oder Fabrikationsfehler. Bei Ver-
schleißteilen oder Beschädigungen durch missbräuchliche oder unsach-
gemäße Behandlung, Gewaltanwendung und Eingriffen die ohne vorherige
Absprache mit unserer Service Abteilung vorgenommen werden, erlischt
die Garantie.
Bitte bewahren Sie, falls möglich, die Originalverpackung für die Dauer der
Garantiezeit auf, um im Falle einer Retournierung die Ware ausreichend zu
schützen, und senden Sie keine Ware unfrei zur Service Abteilung ein!

Related product manuals