EasyManua.ls Logo

Clevo W740SU - CCD, FAN, CLICK; Sheet 26 of 42 CCD, FAN, CLICK

Clevo W740SU
88 pages
Print Icon
To Next Page IconTo Next Page
To Next Page IconTo Next Page
To Previous Page IconTo Previous Page
To Previous Page IconTo Previous Page
Loading...
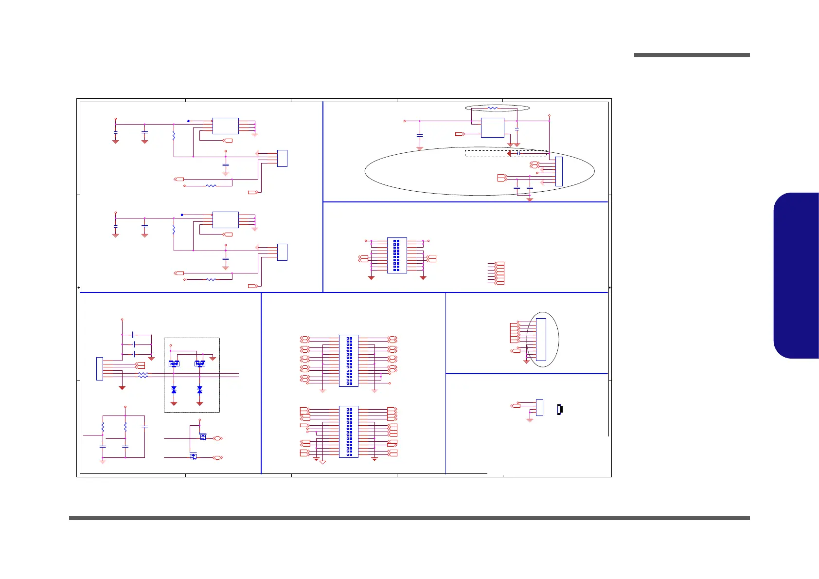
Schematic Diagrams
CCD, FAN, CLICK B - 27
B.Schematic Diagrams
CCD, FAN, CLICK
5
5
4
4
3
3
2
2
1
1
D D
C C
B B
A A
CCD
1A1A
CPU_FAN1
CPU_FAN2
FAN
FOR CLICK PAD
POWER BTN BOARD CONN.
FUNCTION LED BOARD CONN.
6-20-63110-104
6-20-63110-104
Closs to J_CCD1
ֆஆ
Connected to the Page[41]
FOUNTION I/O BOARD CONN.
Connected to the Page[39]
Connected to the Page[37]
ֆஆ
ֆஆ
Connected to the Page[38]
HDD BOARD CONN.
1
J_BTN1
4
100ohm +/- 15%
D02 modify
Port 5
D02A add
48 mil48 mil
6-20-44A00-108
delete L32, L33, R581, R582, R583, U13
J_CCD1 from 6pin change to 8pin
C219 unstuffed
D03 modify
add C187, C188 unstuffed
EMI
close to J_TP1
D03 add
FON1#
FON#
TP_CLK
TP_DATA
TP_DATA
TP_CLK
TP_SMB_DAT
TP_SMB_CLK
TP_SMB_DAT
TP_SMB_CLK
3.3VS_CCD
5VS_CPU_FAN
3.3VS
5VS
3.3VS
5VS_VGA_FAN
5VS
5VS
3.3VS
3.3VS
3.3VS
5VS
5VS
VDD3
3.3VS
VDD5 VDD5
5V
AUDG
3.3VS_AUD
3.3VS
3.3VS
3.3VS
5VS
CPU_FANSEN130
CPU_FAN1 30
CPU_FAN2 30
CPU_FANSEN230
LED_ACIN30
LED_PWR30
LED_BAT_CHG30
LED_BAT_FULL30
SATA_LED#16
AIRPLAN_LED#30
M_BTN#31
CPU_PWM_FAN130
CPU_PWM_FAN230
MIC-29
MIC+29
TP_CLK 30
TP_DATA 30
SMB_CLK 10,11,17
SMB_DATA 10,11,17
SATA_TXP0 16
SATA_TXN0 16
VDD5 31,32,33
3.3VS_AUD 29
3.3V 3,4,13,16,21,24,26,31,34
VDD3 2,16,17,18,20,21,22,23,24,26,28,30,31,32,33,36
5VS 13,14,15,16,19,29,31,35
3.3VS 2,4,6,10,11,13,14,15,16,17,18,19,21,22,23,24,26,29,30,31,35
5V 20,31,34
LID_SW#13,30
SATA_RXP016
SATA_RXN016
USB3_RXP320
USB3_RXN320
USB3_TXN320
USB3_TXP320
USB3_TXP2 20
USB3_TXN2 20
USB3_TXP120
USB3_TXN120
USB3_RXP120
USB3_RXN120
USB_PN020
USB_PP020
DD_ON 30,31,33
USB_PWR_EN# 30,31,33
MIC_SENSE29
HEADPHONE_L29
HEADPHONE_R29
DD_ON# 31
SUSB# 18,30,31,32
MIC1_VREFO_L 29
MIC1_L_M 29
MIC1_R_M 29
MIC1_VREFO_R 29
HP_SENSE29
USB_PP1 20
USB_PN1 20
USB_PP2 20
USB_PN2 20
USB3_RXN2 20
USB3_RXP2 20
PCIE_TXP2_CARD20
PCIE_TXN2_CARD20
PCIE_RXP2_CARD20
PCIE_RXN2_CARD20
CLK_PCIE_CARD# 22
CLK_PCIE_CARD 22
CARDER_PCIECLKRQ1# 22
PLT_RST# 2,4,18,19
EAPD29
CCD_EN30
USB_PN520
USB_PP520
Title
Size Document Number Rev
Date: Sheet
of
6-71-W7400-D03
2.0A
[27] CCD, FAN, CLICK PAD, CONN.
A3
27 43Wednesday, April 24, 2013
ᙔ!Ϻ!ႝ!တ!!DMFWP!DP/
SCHEMATIC1
Title
Size Document Number Rev
Date: Sheet
of
6-71-W7400-D03
2.0A
[27] CCD, FAN, CLICK PAD, CONN.
A3
27 43Wednesday, April 24, 2013
ᙔ!Ϻ!ႝ!တ!!DMFWP!DP/
SCHEMATIC1
Title
Size Document Number Rev
Date: Sheet
of
6-71-W7400-D03
2.0A
[27] CCD, FAN, CLICK PAD, CONN.
A3
27 43Wednesday, April 24, 2013
ᙔ!Ϻ!ႝ!တ!!DMFWP!DP/
SCHEMATIC1
C38
47p_50V_NPO_04
C38
47p_50V_NPO_04
R97 0_04R97 0_04
J_CON_CARD1
ZP91-03414-3021
J_CON_CARD1
ZP91-03414-3021
1
1
2
2
3
3
4
4
5
5
6
6
7
7
8
8
9
9
10
10
11
11
12
12
13
13
14
14
15
15
16
16
17
17
18
18
19
19
20
20
21
21
22
22
23
23
24
24
25
25
26
26
27
27
28
28
29
29
30
30
C33
*10U_10V_08
C33
*10U_10V_08
C244
10u_10V_Y5V_08
C244
10u_10V_Y5V_08
R73
10K_04
R73
10K_04
C218
2.2u_6.3V_X5R_06
C218
2.2u_6.3V_X5R_06
U12
*AX995SA
U12
*AX995SA
VOUT
3
GND
5
VIN
2
FON
1
VSET
4
GND
6
GND
8
GND
7
J_CON_USB1
ZP91-03414-3021
J_CON_USB1
ZP91-03414-3021
1
1
2
2
3
3
4
4
5
5
6
6
7
7
8
8
9
9
10
10
11
11
12
12
13
13
14
14
15
15
16
16
17
17
18
18
19
19
20
20
21
21
22
22
23
23
24
24
25
25
26
26
27
27
28
28
29
29
30
30
J_FAN1
88266-04001
J_FAN1
88266-04001
1
1
2
2
3
3
4
4
J_BTN1
85201-04051
J_BTN1
85201-04051
1
2
3
4
C215
1u_6.3V_X5R_04
C215
1u_6.3V_X5R_04
D18
*V15AVLC0402
D18
*V15AVLC0402
12
D5
BAV99N3
D5
BAV99N3
A
C
AC
C40 1u_6.3V_X5R_04C40 1u_6.3V_X5R_04
R296
0_04
R296
0_04
J_CCD1
87213-0800G
J_CCD1
87213-0800G
1
2
3
4
5
6
7
8
C187
*0.1u_16V_Y5V_04
C187
*0.1u_16V_Y5V_04
C42 1u_6.3V_X5R_04C42 1u_6.3V_X5R_04
C188
*0.1u_16V_Y5V_04
C188
*0.1u_16V_Y5V_04
U14
*AX995SA
U14
*AX995SA
VOUT
3
GND
5
VIN
2
FON
1
VSET
4
GND
6
GND
8
GND
7
R98 0_04R98 0_04
C248
*4.7u_6.3V_X5R_06
C248
*4.7u_6.3V_X5R_06
D19
*V15AVLC0402
D19
*V15AVLC0402
12
C36 *10u_6.3V_X5R_08C36 *10u_6.3V_X5R_08
Q8
AO3402L
Q8
AO3402L
G
DS
R330 4.7K_04R330 4.7K_04
Q5
AO3402L
Q5
AO3402L
G
DS
J_SATA_HDD1
ZP91-03415-2021
J_SATA_HDD1
ZP91-03415-2021
1
1
2
2
3
3
4
4
5
5
6
6
7
7
8
8
9
9
10
10
11
11
12
12
13
13
14
14
15
15
16
16
17
17
18
18
19
19
20
20
U11
G5243A
U11
G5243A
VIN
4
VIN
5
EN
3
VOUT
1
GND
2
J_TP1
85201-06051
J_TP1
85201-06051
1
2
3
4
5
6
C217
*4.7u_6.3V_X5R_06
C217
*4.7u_6.3V_X5R_06
D6
BAV99N3
D6
BAV99N3
A
C
AC
J_FAN2
88266-04001
J_FAN2
88266-04001
1
1
2
2
3
3
4
4
C241
*0.1u_16V_Y5V_04
C241
*0.1u_16V_Y5V_04
C219
*0.1u_16V_Y5V_04
C219
*0.1u_16V_Y5V_04
J_LED1
88511-1241
J_LED1
88511-1241
12
11
10
9
8
7
6
5
4
3
2
1
R74
10K_04
R74
10K_04
R306 4.7K_04R306 4.7K_04
C255
10u_10V_Y5V_08
C255
10u_10V_Y5V_08
C220
*0.1u_16V_Y5V_04
C220
*0.1u_16V_Y5V_04
C39
47p_50V_NPO_04
C39
47p_50V_NPO_04
R313
0_04
R313
0_04
R468 *0_06R468 *0_06
Sheet 26 of 42
CCD, FAN, CLICK

Table of Contents

Related product manuals