EasyManua.ls Logo

Cosa 9610 - Discrete Input Registers

Cosa 9610
75 pages
Print Icon
To Next Page IconTo Next Page
To Next Page IconTo Next Page
To Previous Page IconTo Previous Page
To Previous Page IconTo Previous Page
Loading...
INSTALLATION, OPERATION AND MAINTENANCE MANUAL COSA 9610™
54 | Page
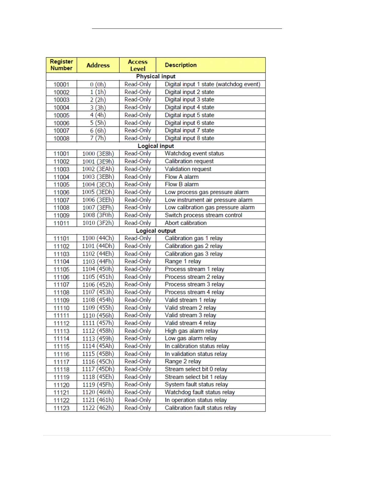
5.2. DISCRETE INPUT REGISTERS

Table of Contents

Related product manuals