EasyManua.ls Logo

Cotek SP-700-148 - Schémas de Performances

Cotek SP-700-148
77 pages
Print Icon
To Next Page IconTo Next Page
To Next Page IconTo Next Page
To Previous Page IconTo Previous Page
To Previous Page IconTo Previous Page
Loading...
56
FR
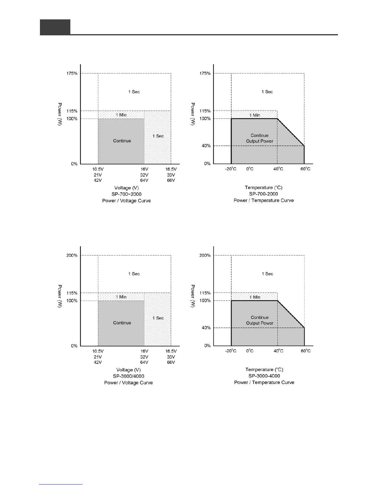
2-3-7. Schémas de performances
Sché ma 1 SP-700~SP-2000
Puissance en sortie / Tension
d’alimentation
Sché ma 2 SP-700~SP-2000
Puissance en sortie /
Tempé rature
Sché ma 3 SP-3000~SP-4000
Puissance en sortie / Tension
d’alimentation
Sché ma 4 SP-3000~SP-4000
Puissance en sortie /
Tempé rature

Table of Contents

Related product manuals