EasyManua.ls Logo

Daikin FTX-N/U - Page 65

Daikin FTX-N/U
484 pages
Print Icon
To Next Page IconTo Next Page
To Next Page IconTo Next Page
To Previous Page IconTo Previous Page
To Previous Page IconTo Previous Page
Loading...
FTX-N/U, FVXS-N, FDMQ-R Series EDUS091558E
63
3D123455
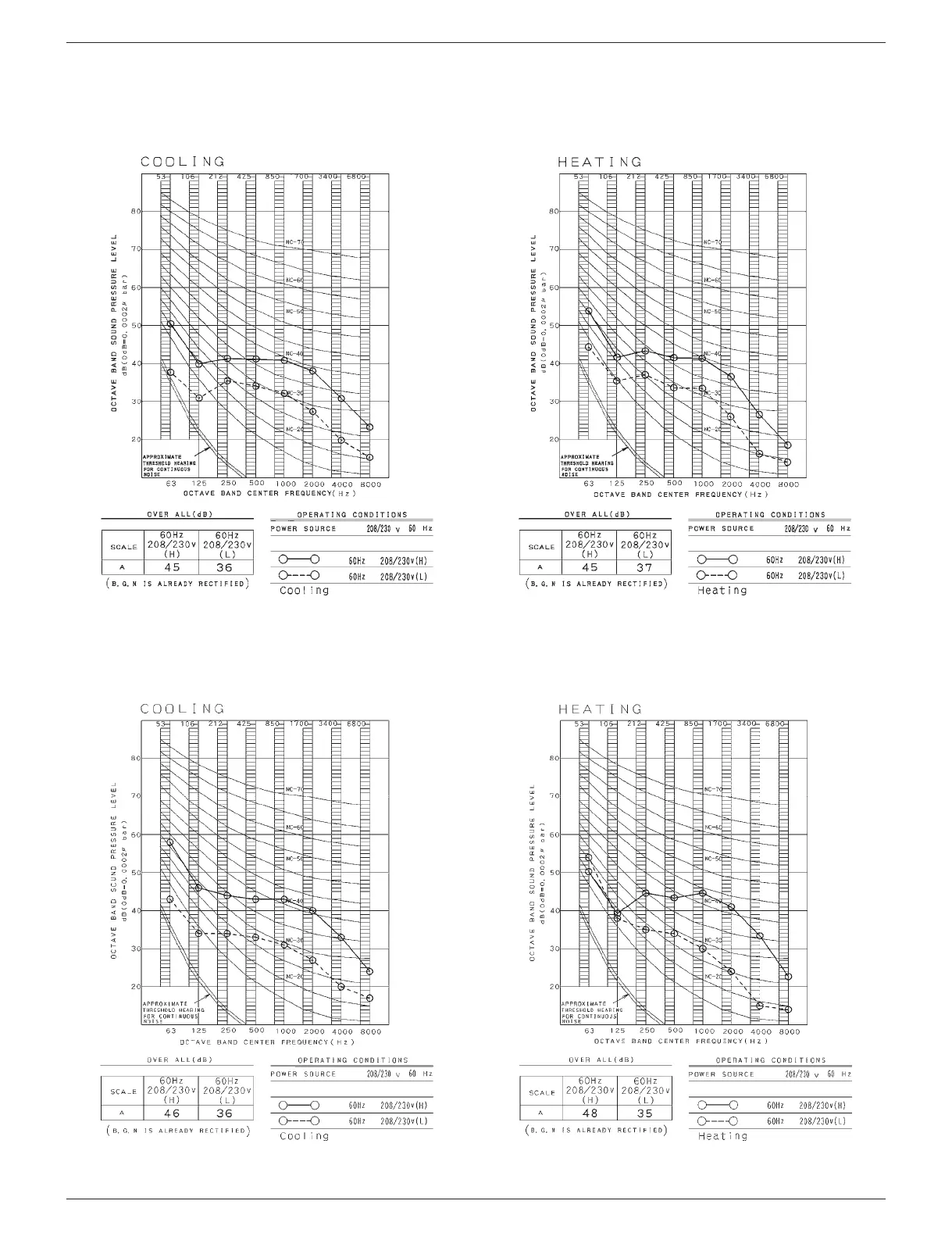
FTX18UVJU
3D100354
FTX15NMVJU

Table of Contents

Related product manuals