EasyManua.ls Logo

DATAEAGLE 4000 Series - Page 35

Default Icon
63 pages
Print Icon
To Next Page IconTo Next Page
To Next Page IconTo Next Page
To Previous Page IconTo Previous Page
To Previous Page IconTo Previous Page
Loading...
6 Commissioning
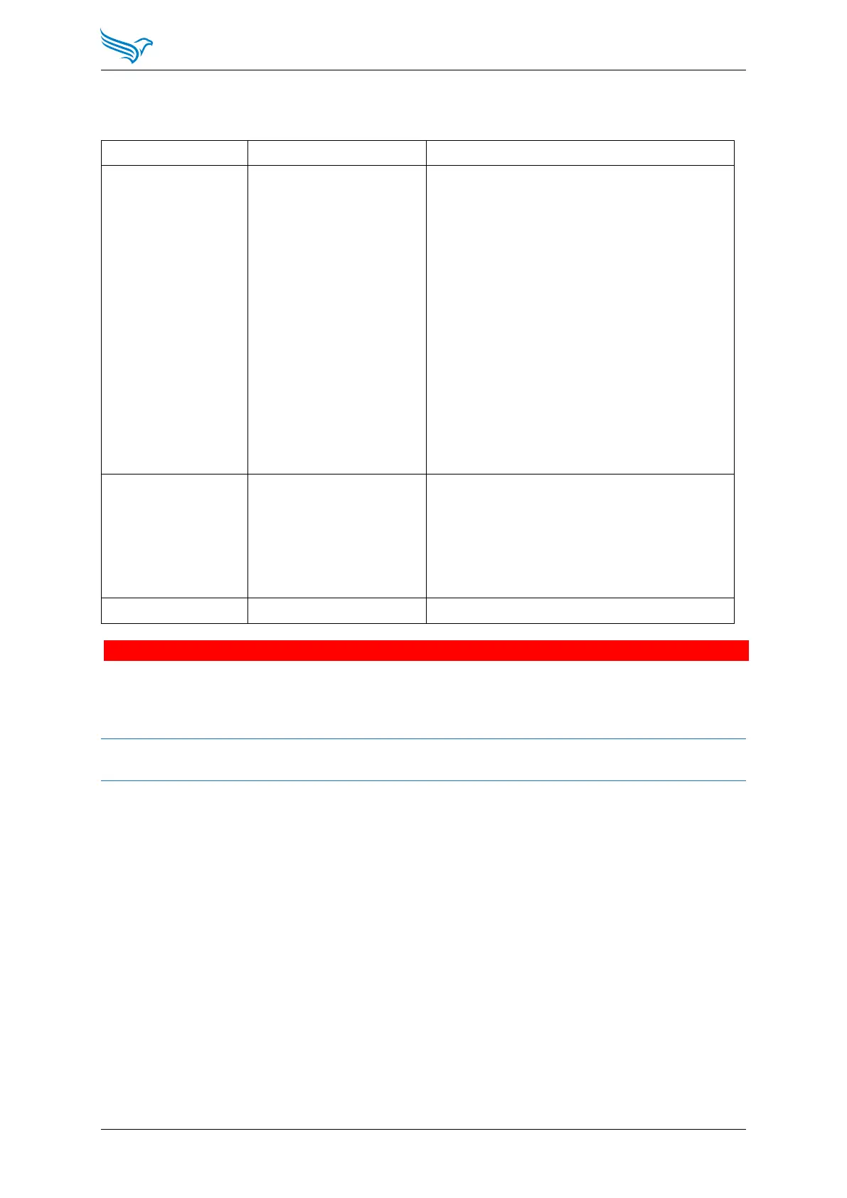
Configuration parameters 869 MHz
Value Description Comment
HF Rate Modulation 20k (LR DSSS FEC) @ 100 kHz
method Channel 1 or 3 only
Highest range, slow
38.4k (GFSK) @ 100 kHz Bandwidth-
Channel 1 or 3 only
50k (GFSK) @ 200 kHz Bandwidth -
Channel 3 only
100k (GFSK) @ 200 kHz Bandwidth -
Channel 3 only
Low range, fast
Channel Radio channel 00: 869.40 MHz Not allowed
(Frequency) 01: 869.45 MHz
02: 869.50 MHz
03: 869.55 MHz
04: 869.60 MHz
HF Power Level Transmitting power 12-25 dBm
test
ATTENTION!
Selectable settings are CE compliant according to EN 300 220 standard.
Other combinations are not permitted!
NOTE: The higher the RF rate, the faster the transmission but the range is
shorter
All devices in a radio system must be set to the same radio channel.
DATAEAGLE radio systems in parallel operation are to be operated with
different radio channels! However, it should be noted that at high RF rate only 1
system is possible due to the available bandwidth!
It makes sense to reduce the transmitting power in order not to influence
neighboring radio systems in the same frequency band!
Manual
DATAEAGLE 4000 Series - Wireless ETHERNET
35

Table of Contents