EasyManua.ls Logo

Dish Network Tailgater - Page 10

Dish Network Tailgater
24 pages
Print Icon
To Next Page IconTo Next Page
To Next Page IconTo Next Page
To Previous Page IconTo Previous Page
To Previous Page IconTo Previous Page
Loading...
8
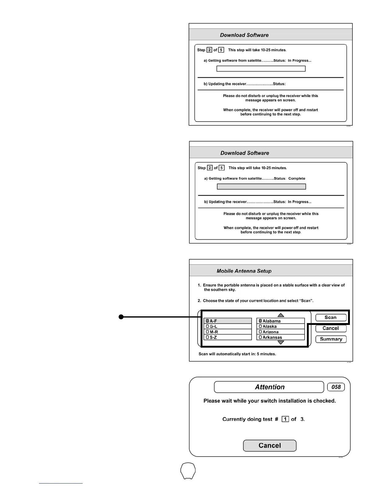
The receiver will download software
for the Tailgater. This step may take
20-25 minutes.
5. The receiver will reset and the Mobile
Antenna Setup Screen will appear.
Choose your location again and
initiate a second scan.
The unit will scan a second time.

Other manuals for Dish Network Tailgater

Related product manuals