EasyManua.ls Logo

Dunkirk DCB-100 - Page 132

Dunkirk DCB-100
139 pages
Print Icon
To Next Page IconTo Next Page
To Next Page IconTo Next Page
To Previous Page IconTo Previous Page
To Previous Page IconTo Previous Page
Loading...
48
3.
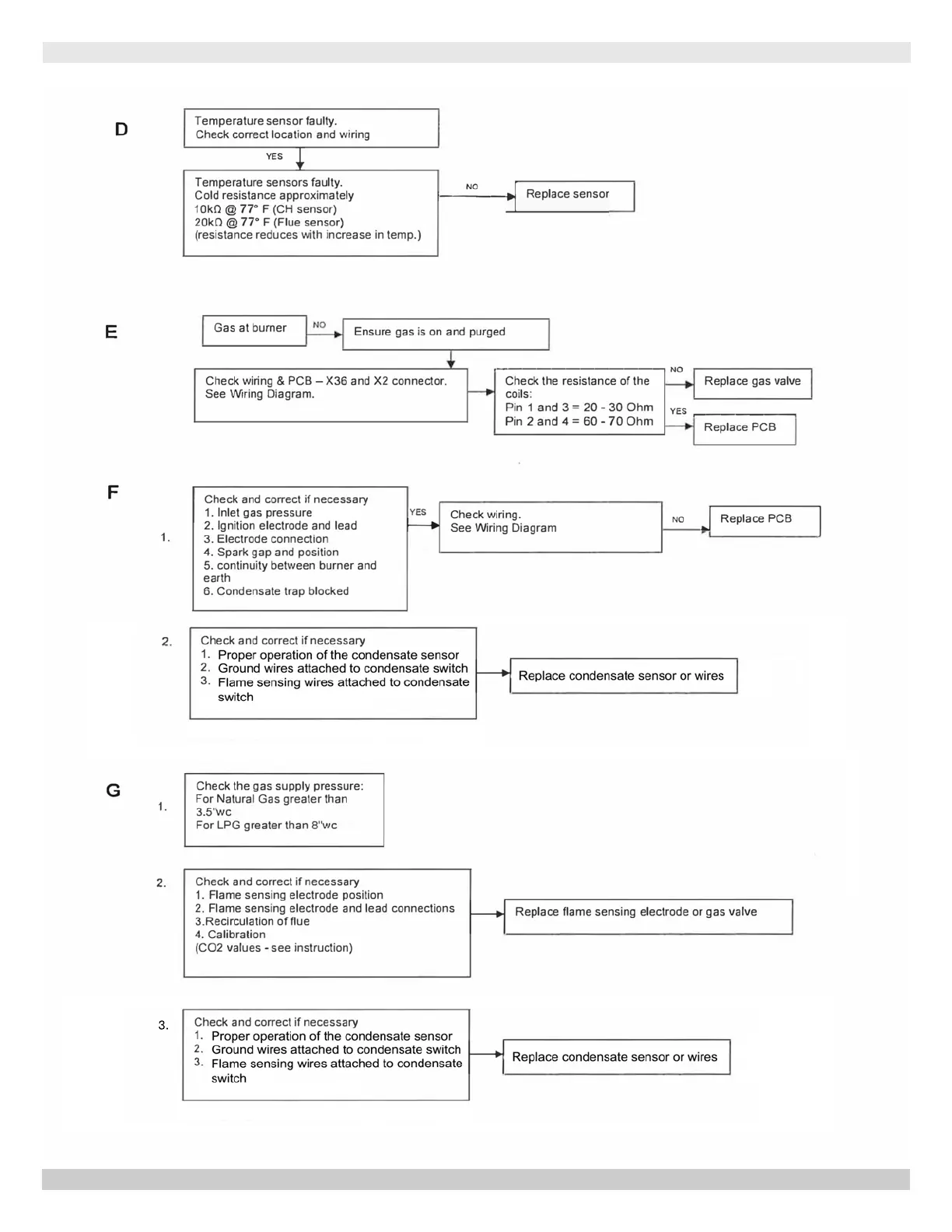
FAULT SOLUTION SECTIONS
PN 240011430 REV. O [07/01/2021]

Table of Contents

Related product manuals