EasyManua.ls Logo

Endress+Hauser HMX50 - Define the End Value; Defining the Fault Current (fault message)

Endress+Hauser HMX50
48 pages
Print Icon
To Next Page IconTo Next Page
To Next Page IconTo Next Page
To Previous Page IconTo Previous Page
To Previous Page IconTo Previous Page
Loading...
31
Endress+Hauser
HART Loop Converter HMX50
Define the End Value
Make sure during configuration that the end value is at least 1 % greater than the start
value.
1. Enter the end value as a floating point figure. For entering floating point figures, see
chapter 3.4.4. The defined unit from the Unit menu is used as the unit. See chapter
3.4.5.
2. Confirm your entry with OK.
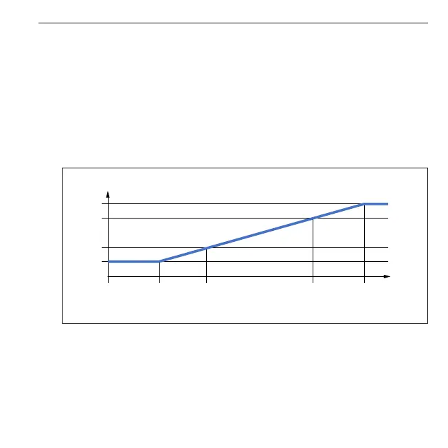
Example
Characteristic 4 - 20 NE43, start value 2 bar, end value 10 bar
A0034629
Defining the Fault Current (fault message)
The type of fault current chosen will define how the current output transmits the fault
message to the controller.
1. Select the type of fault current using the
or buttons.
2. Select the fault current down.
The fault message is indicated by a low current value.
3,8
4
20,0
20,5
mA
bar
(psi)
0 1,9
(27.55)
2,0
(29)
10,0
(145)
10,25
(149)
BA00371FEN_1417.fm Page 31 Tuesday, August 15, 2017 4:08 PM

Related product manuals