EasyManua.ls Logo

Fronius Primo 5.0-1 - Error Search Tree; General; Permanent Error

Fronius Primo 5.0-1
164 pages
Go to English
To Next Page IconTo Next Page
To Next Page IconTo Next Page
To Previous Page IconTo Previous Page
To Previous Page IconTo Previous Page
Loading...
110
Error search tree
General The error search tree is used to systematically find and correct errors.
Before starting troubleshooting, first read the "Function Overview" chapter to understand
the design and function of the device.
Required system data:
- Inverter type
- Serial number of the installed inverter
- Service code shown on the display (state PS menu)
- Name of PV system (name of system operator)
- System duration of operation
- System location
- Number of inverters installed in the system (type, serial number)
- DC and AC voltage
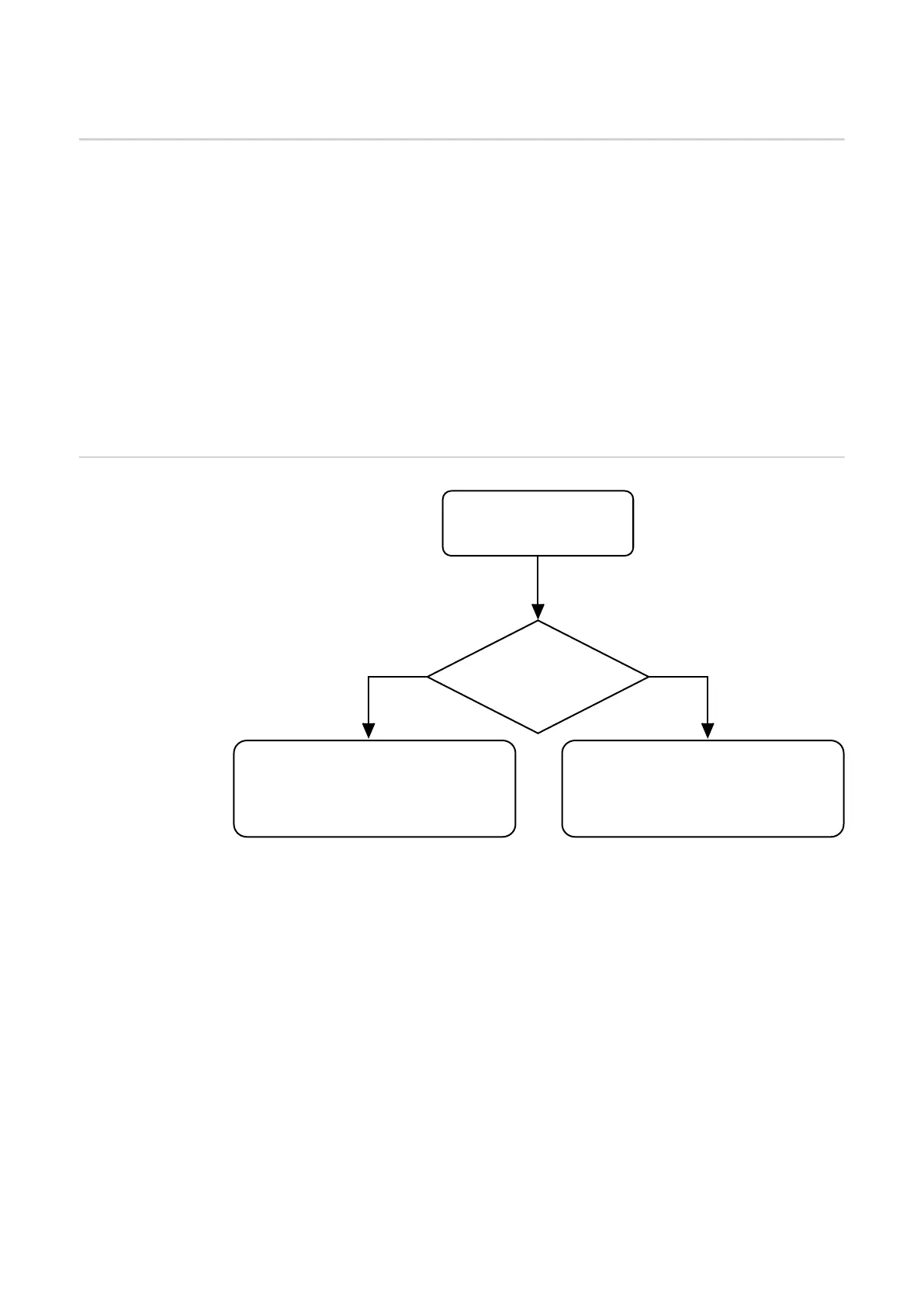
Permanent error
:KHQGRHVWKHHUURU
RFFXU"
,QYHUWHUHUURUXQOLNHO\
FKHFNJULGVRODUPRGXOHV
6HH)URQLXVVHUYLFHFRGHIRUGHWDLOV
/LVW
,QYHUWHUHUURUXQOLNHO\
3&ERDUGLQYHUWHUPXVWEHUHSDLUHG
6HH)URQLXVVHUYLFHIRUGHWDLOV
FRGHOLVW
$UHRWKHUGHYLFHVDOVR
VKRZLQJWKHHUURU"
<(6 12

Table of Contents

Other manuals for Fronius Primo 5.0-1

Related product manuals