EasyManua.ls Logo

Fujitsu AOU12RLFC - Page 83

Fujitsu AOU12RLFC
151 pages
Print Icon
To Next Page IconTo Next Page
To Next Page IconTo Next Page
To Previous Page IconTo Previous Page
To Previous Page IconTo Previous Page
Loading...
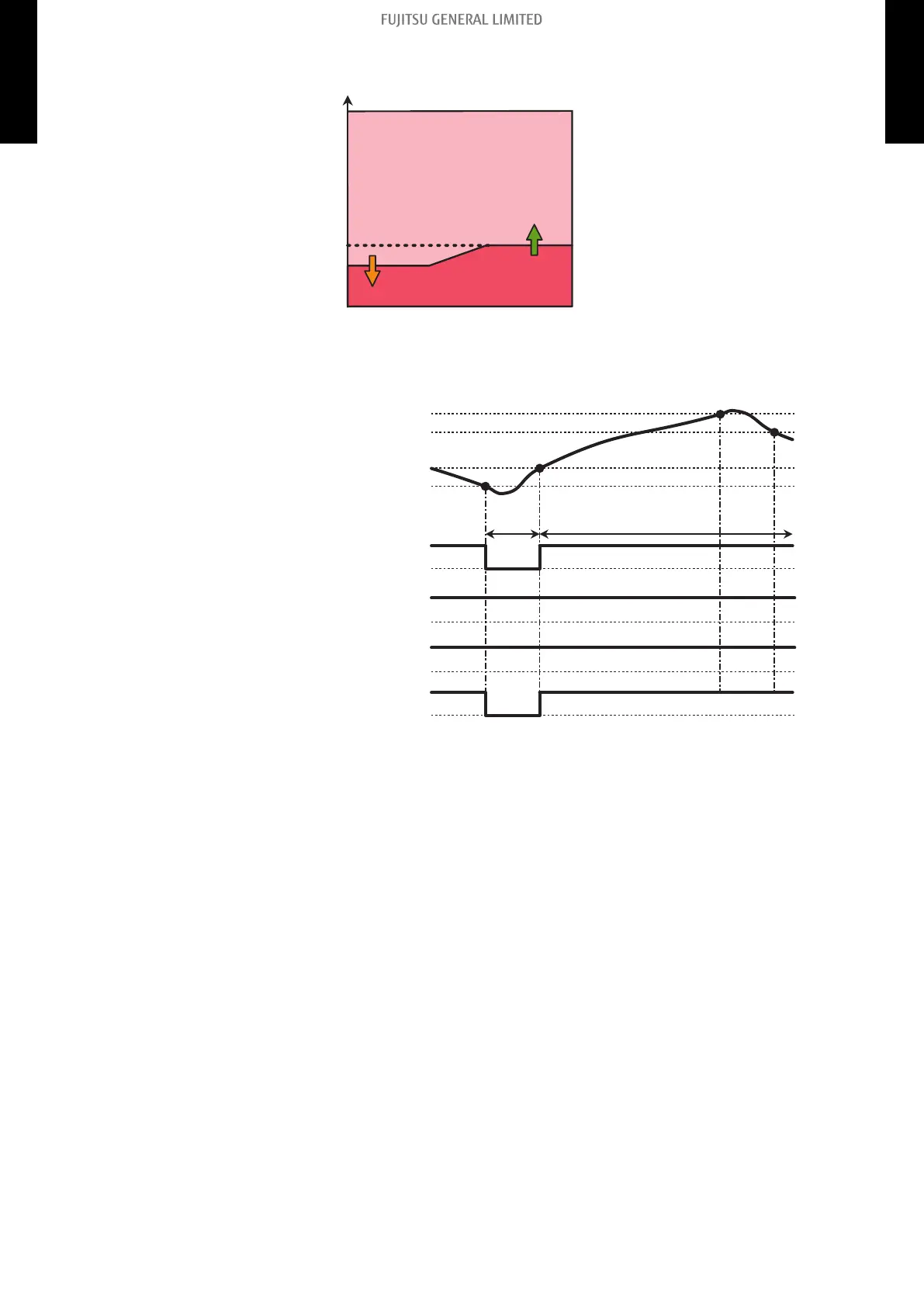
Outdoor temperature zone
Combination zone
(Heat pump + Heater)
Heater only zone
*A: -4°F (-2C)
A + 3.6°F ( 2°C): -0.F (-18°C)
Outdoor temp.
*: Adjustable by function setting 67
Operation status
On
12 V
Off
0 V
Heater
Comp. On/Off
Outdoor temperature
(Factory setting)
Outdoor temperature zone *
Heat pump
prohibition
zone
Combination zone
* The outdoor temperature zone transition from one to another will stay in that zone for minimum of 30 min.
46.4°F (8°C)
42.8°F (6°C)
-0.4°F (-18°C)
-F (-20°C)
On
Off
On
Off
Fan
DIP-SW101-3 On
DIP-SW101-3 Off
NOTE: In following operations, compressor will be on in heat pump prohibition zone.
Other than heating
Test run
- 77 -
8-4. Details of function 8. External input and output
DUCT TYPE
ARU12-48RGLX
DUCT TYPE
ARU12-48RGLX

Table of Contents

Other manuals for Fujitsu AOU12RLFC

Related product manuals