EasyManua.ls Logo

GE Multilin 369 - Page 40

GE Multilin 369
76 pages
Print Icon
To Next Page IconTo Next Page
To Next Page IconTo Next Page
To Previous Page IconTo Previous Page
To Previous Page IconTo Previous Page
Loading...
4–36 369 MOTOR MANAGEMENT RELAY – QUICKSTART GUIDE
S3 OVERLOAD PROTECTION CHAPTER 4: KEYPAD SETPOINTS
The 369 overload curve can take one of two formats: Standard or Custom Curve.
Regardless of which curve style is selected, the 369 will retain thermal memory in the form
of a register called
THERMAL CAPACITY USED. This register is updated every 100 ms using
the following equation:
(EQ 4.1)
where: time_to_trip = time taken from the overload curve at I
eq
as a function of FLA.
The overload protection curve should always be set slightly lower than the thermal limits
provided by the manufacturer. This will ensure that the motor is tripped before the thermal
limit is reached.
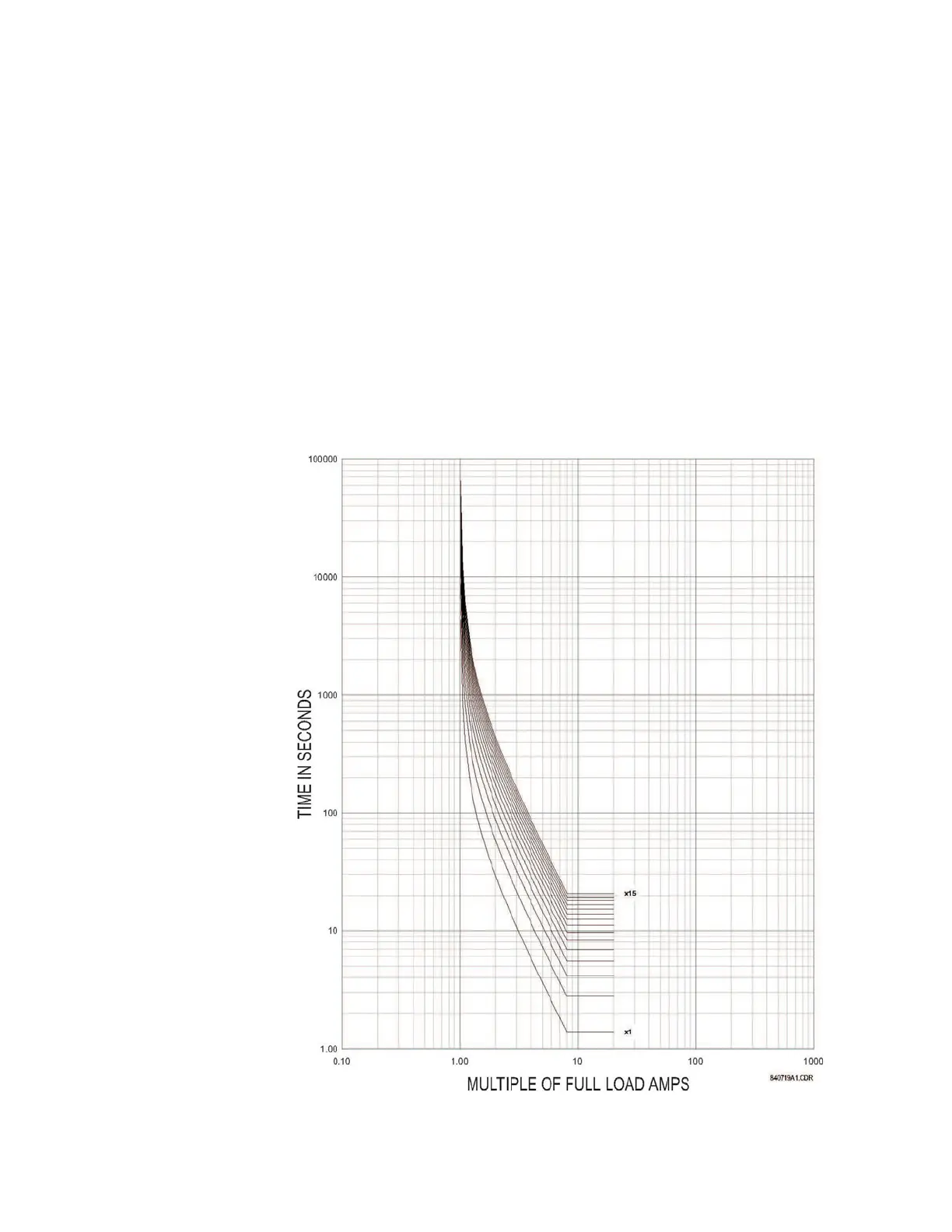
If the motor starting times are well within the safe stall times, it is recommended that the
369 Standard Overload Curves be used. The standard overload curves are a series of 15
curves with a common curve shape based on typical motor thermal limit curves (see
FIGURE 4–2: 369 Standard Overload Curves on page 4–36 and FIGURE 4–2: 369 Standard
Overload Curves on page 4–36).
FIGURE 4–2: 369 Standard Overload Curves
TCused
t
TCused
t 100ms
100ms
time_to_trip
------------------------------
100%×+=

Table of Contents

Related product manuals