EasyManua.ls Logo

HP 8153A - Page 182

HP 8153A
282 pages
Print Icon
To Next Page IconTo Next Page
To Next Page IconTo Next Page
To Previous Page IconTo Previous Page
To Previous Page IconTo Previous Page
Loading...
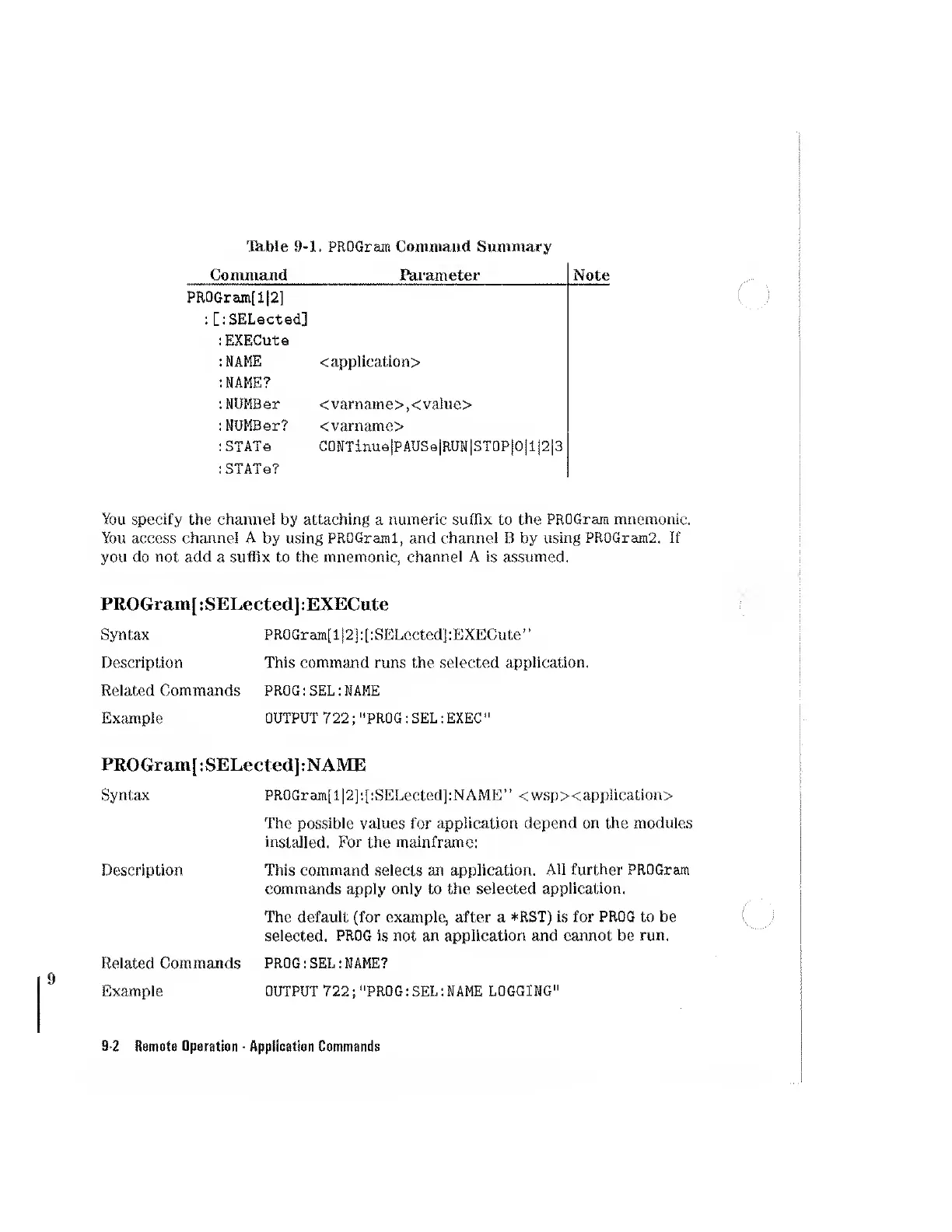
Tkble
9-1.
PROGram
Command
Summary
Command
Parameter
Note
PR0Gram[ii2]
:
[.'SELected]
EXECute
NAME
NAME?
<application>
NUMBer
<varname>,<value>
NUMBer?
<varname>
STATe
CONTinue|PAUSe|RUN!STOPjO|i|2|3
STATe?
You
specify
the
channel
by
attaching
a
numeric
suffix
to
the
PROGram
mnemonic.
You
access
channel
A
by
using
PROGraml,
and
channel
R
by
using
PR0Gram2.
If
you
do
not
add
a
suffix
to
the
mnemonic,
channel
A
is
assumed.
PROGram[:SELected]:EXECute
Syntax
PRaGram[l|2j:[:SELcctedj:EXECute”
Description
This
command
runs
the
selected
application.
Related
Commands
PROG:
SEL:
MAME
Exjimple
OUTPUT
722;
"PROG:SEL
:EXEC*'
PROGram[:SELect:ed]:NAME
Syntax
PR0Gram[i|2];[:SELected]:NAME”
<wsp><appIication>
The
possible
values
for
application
depend
on
the
modules
installed.
For
the
mainframe:
Description
This
command
selects
an
application.
All
further
PROGram
commands
apply
only
to
the
selected
application.
The
default
(for
example,
after
a
*RST)
is
for
PROG
to
be
selected.
PROG
is
not
an
application
and
cannot
be
run.
Related
Commands
PROG:
SEL:
NAME?
Example
OUTPUT
722C'PRQG;SEL:NAME
LOGGING"
9-2
Remote
Operation
Application
Commands

Other manuals for HP 8153A

Related product manuals