EasyManua.ls Logo

HP 8508A - Data Messages; Instrument Commands

HP 8508A
130 pages
Print Icon
To Next Page IconTo Next Page
To Next Page IconTo Next Page
To Previous Page IconTo Previous Page
To Previous Page IconTo Previous Page
Loading...
SOQ
eee
ee
ese
ise
es
ese
cee
eGeas
7
Operation
-_
SYSTEMS
Data
Messages
The
Vector
Voltmeter
communicates
on
the
interface
bus
primarily
with
Data
messages.
Data
messages
consist
of
a
sequence
of
bytes
sent
over
the
bus
data
lines,
when
the
bus
is
in
the
data
mode
(ATN
false).
The
Vector
Voltme-
ter
receives
Data
messages
when
addressed
to
listen
and
sends
Data
messages
or
the
Status
Byte
message
when
addressed
to
talk.
All
instrument
operations
available
in
local
mode
can
be
performed
in
remote
mode
via
Data
messages
except
for
changing
the
LINE
switch.
Receiving
the
Data
Message
The
Vector
Voltmeter
responds
to
Data
messages
when
in
remote
mode
(REN
true)
and
addressed
to
listen.
Instrument
Commands
Instrument
commands
are
sent
as
data
messages.
Commands
may
be
linked
together
using
appropriate
punctua-
tion,
as
defined
in
the
IEEE
488.2
standard.
Allowable
commands
for
the
Vector
Voltmeter
are
described
in
Table
3-2.
Either
upper
or
lower
case
characters
are
accepted.
Many
commands
have
a
query
option
that
returns
results
or
allows
the
state
of
the
function
to
be
checked
remotely.
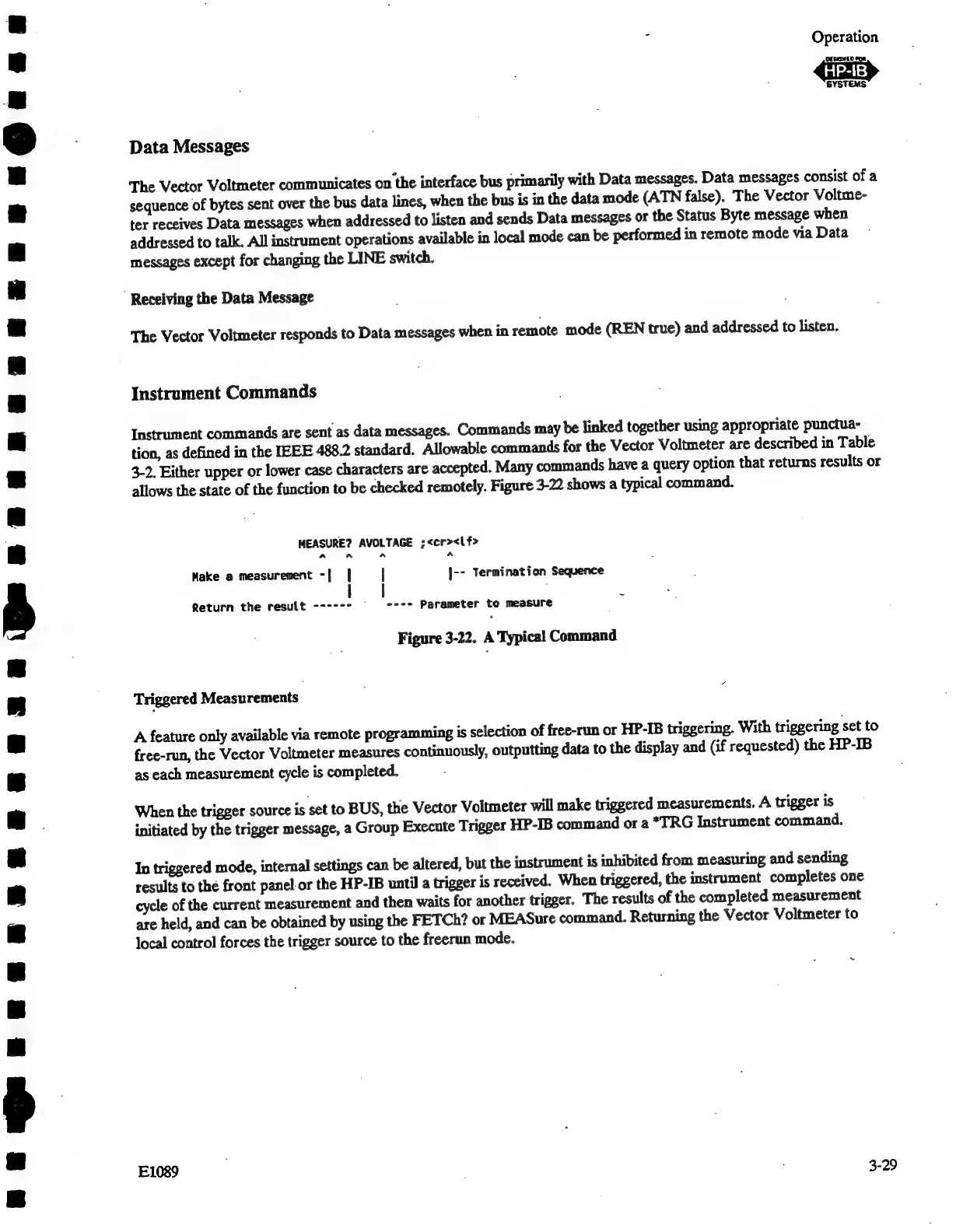
Figure
3-22
shows
a
typical
command.
MEASURE?
AVOLTAGE
;<cr><\f>
a
A
aA
A
Make
a
measurement
-|
|
|
]J--
Termination
Sequence
Return
the
result
------
eeee
Parameter
to
measure
Figure
3-22.
A
Typical
Command
Triggered
Measurements
A
feature
only
available
via
remote
programming
is
selection
of
free-run
or
HP-IB
triggering.
With
triggering
set
to
free-run,
the
Vector
Voltmeter
measures
continuously,
outputting
data
to
the
display
and
(if
requested)
the
HP-IB
as
each
measurement
cycle
is
completed.
When
the
trigger
source
is
set
to
BUS,
the
Vector
Voltmeter
will
make
triggered
measurements.
A
trigger
is
initiated
by
the
trigger
message,
a
Group
Execute
Trigger
HP-IB
command
or
a
*T
RG
Instrument
command.
In
triggered
mode,
internal
settings
can
be
altered,
but
the
instrument
is
inhibited
from
measuring
and
sending
results
to
the
front
panel-or
the
HP-IB
until
a
trigger
is
received.
When
triggered,
the
instrument
completes
one
cycle
of
the
current
measurement
and
then
waits
for
another
trigger.
The
results
of
the
completed
measurement
are
held,
and
can
be
obtained
by
using
the
FETCh?
or
MEASure
command.
Returning
the
Vector
Voltmeter
to
local
control
forces
the
trigger
source
to
the
freerun
mode.
E1089
.
3-29

Related product manuals