EasyManua.ls Logo

HP 8508A - Advanced Measurements

HP 8508A
130 pages
Print Icon
To Next Page IconTo Next Page
To Next Page IconTo Next Page
To Previous Page IconTo Previous Page
To Previous Page IconTo Previous Page
Loading...
Operation
3-9
ADVANCED
MEASUREMENTS
This
section
will
cover
some
simple
network
analysis
measurements
using
the
HP
8508A
and
a
companion
source.
Transmission
and
reflection
measurements
will
be
covered
to
show
how
some
of
the
features
of
the
HP
8508A
can
be
used
to
make
your
measurements
easier.
The
measurement
examples
will
use
50
ohm
devices
-
refer
to
the
following
section
for
details
of
configuring
the
HP
8508A
for
50
ohm
inputs.
.
Measurements
in
a
50
ohm
system
50
ohm
measurements
can
be
made
directly
when
the
HP
8508A
is
fitted
with
the
type-N
HP
85082
Input
Module,
or
by
using
adapters
with
the
probes
of
the
HP
85081
Input
Module.
The
HP
11536A
Feedthru
is
part
of
the
HP
11570A
Accessory
Kit.
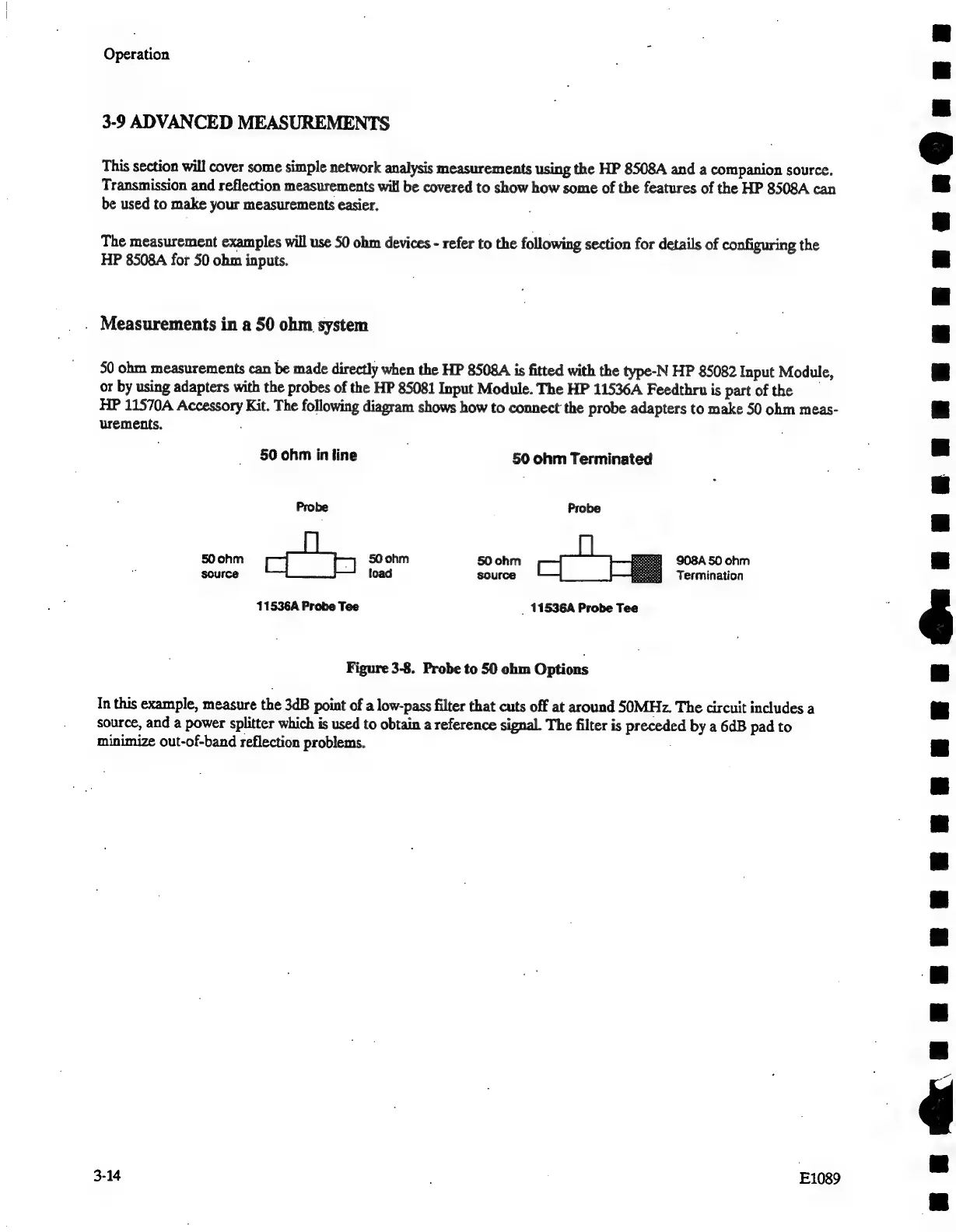
The
following
diagram
shows
how
to
connect
the
probe
adapters
to
make
50
ohm
meas-
urements.
:
50
ohm
in
line
50
ohm
Terminated
Probe
Probe
50
ohm
ots
50
ohm
908A
50
ohm
source
load
Termination
11536A
Probe
Tee
_
11536A
Probe
Tee
Figure
3-8.
Probe
to
50
ohm
Options
In
this
example,
measure
the
3dB
point
of
a
low-pass
filter
that
cuts
off
at
around
SOMHz.
The
circuit
includes
a
source,
and
a
power
splitter
which
is
used
to
obtain
a
reference
signal.
The
filter
is
preceded
by
a
6dB
pad
to
minimize
out-of-band
reflection
problems.
3-14
E1089
sae
@annepnunnununns
@ennunununnunnu
n@uusn

Related product manuals