EasyManua.ls Logo

HP 8508A - Page 67

HP 8508A
130 pages
Print Icon
To Next Page IconTo Next Page
To Next Page IconTo Next Page
To Previous Page IconTo Previous Page
To Previous Page IconTo Previous Page
Loading...
BER
ERB
RBBB
ERR
ee
eee
eee
eee
ee
g~uan
-
Operation
OERONED
FOR,
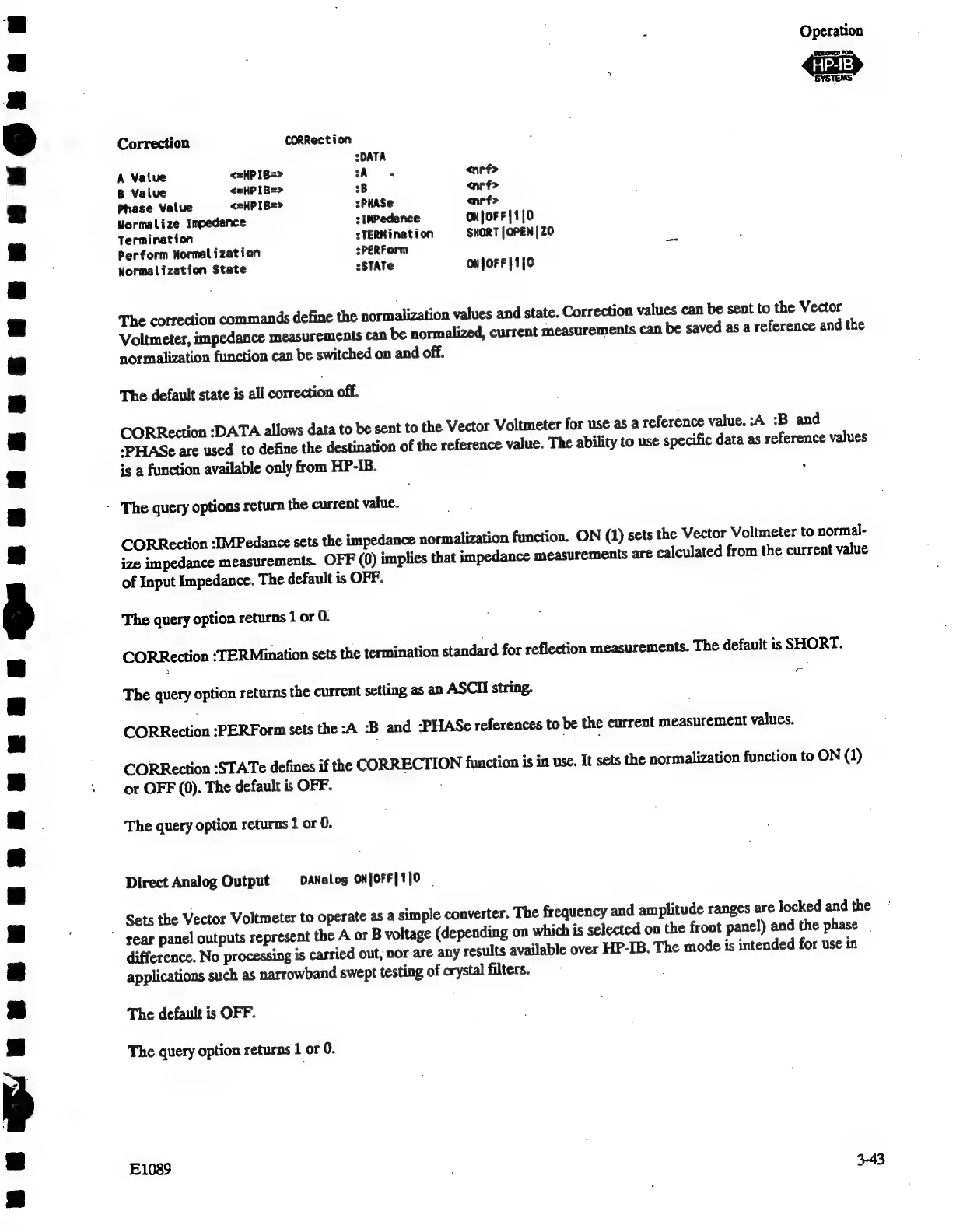
Correction
corRection
sDATA
A
Vatue
<=zHPIB=>
SA
<nrf>
B
Value
<=HPIB=>
3B
<arf>
Phase
Vatue
<=HPIB=>
sPHASe
<arf>
Normalize
Impedance
:1MPedance
On|OFF
{1/0
Termination
sTERMination
SHORT
|
OPEN
|
20
Perform
Normalization
2PERForm
oy
Normalization
State
:STATe
ONJOFF
{10
The
correction
commands
define
the
normalization
values
and
state.
Correction
values
can
be
sent
to
the
Vector
Voltmeter,
impedance
measurements
can
be
normalized,
current
measurements
can
be
saved
as
a
reference
and
the
normalization
function
can
be
switched
on
and
off.
The
default
state
is
all
correction
off.
CORRection
:DATA
allows
data
to
be
sent
to
the
Vector
Voltmeter
for
use
as
a
reference
value.
:A
:B
and
-PHAS¢
are
used
to
define
the
destination
of
the
reference
value.
The
ability
to
use
specific
data
as
reference
values
is
a
function
available
only
from
HP-IB.
-
The
query
options
return
the
current
value.
ion.
ON
(1)
sets
the
Vector
Voltmeter
to
normal-
CORRection
:IMPedance
sets
the
impedance
normalization
funct
easurements
are
calculated
from
the
current
value
ize
impedance
measurements.
OFF
(0)
implies
that
impedance
m:
of
Input
Impedance.
The
default
is
OFF.
The
query
option
returns
1
or
0.
efault
is
SHORT.
iP
CORRection
‘TERMination
sets
the
termination
standard
for
reflection
measurements.
The
d
The
query
option
returns
the
current
setting
as
an
ASCII
string.
CORRection
:PERForm
sets
the
:A
3B
and
:PHASe
references
to
be
the
current
measurement
values.
CORRection
:STATe
defines
if
the
CORRECTION
function
is
in
use.
It
sets
the
normalization
function
to
ON
(1)
or
OFF
(0).
The
default
is
OFF.
The
query
option
returns
1
or
0.
Direct Analog
Output
DANalog
ON|OFFI1]O
Sets
the
Vector
Voltmeter
to
operate
as
a
simple
converter.
The
frequency
and
amplitude
ranges
are
locked
and
the
"
rear
panel
outputs
represent
the
A
or
B
voltage
(depending
on
which
is
selected
on
the
front
panel)
and
the
phase
difference.
No
processing
is
carried
out,
nor
are
any
results
available
over
HP-IB.
The
mode
is
intended
for
use
in
applications
such
as
narrowband
swept
testing
of
crystal
filters.
The
default
is
OFF.
|
The
query
option
returns
1
or
0.
E1089
3-43

Related product manuals