EasyManua.ls Logo

JPT YDFLP - Page 11

JPT YDFLP
21 pages
Print Icon
To Next Page IconTo Next Page
To Next Page IconTo Next Page
To Previous Page IconTo Previous Page
To Previous Page IconTo Previous Page
Loading...
YDFLP Fiber Laser Installation
Guide and User Manual
FileNumber:EFLP001BE ShenzhenJPTOptoelectronicsCo.Ltd.
VersionBDate:2016.4
11
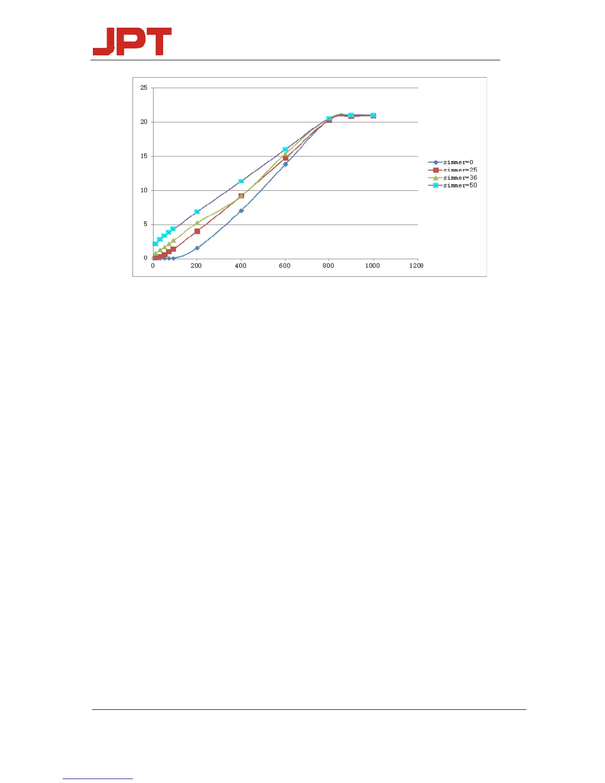
Figure 6 The actual power curve of M6+@ 2ns at different simmer value and frequency
M6+ can use GUI to adjust the Class II simmer value to achieve customer required
effect. The changes of simmer value will influence the output power under the same
parameters. Figure 6 shows the impact of simmer value.

Related product manuals