EasyManua.ls Logo

KROHNE OPTIMASS 7000 - Page 40

KROHNE OPTIMASS 7000
56 pages
Print Icon
To Next Page IconTo Next Page
To Next Page IconTo Next Page
To Previous Page IconTo Previous Page
To Previous Page IconTo Previous Page
Loading...
6 TECHNICAL DATA
40
OPTIMASS 7000
www.krohne.com 10/2015 - 4001016303 - MA OPTIMASS 7000 R03 en
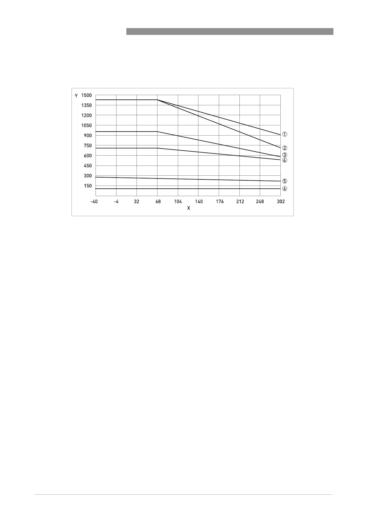
Pressure / temperature de-rating for Titanium Gr 9 meters
Pressure / temperature de-rating for Titanium Gr 9 meters Pressure / temperature de-rating for Titanium Gr 9 meters
Pressure / temperature de-rating for Titanium Gr 9 meters
(all meter sizes with flanged connections as per ASME B16.5)
(all meter sizes with flanged connections as per ASME B16.5)(all meter sizes with flanged connections as per ASME B16.5)
(all meter sizes with flanged connections as per ASME B16.5)
X temperature [°F]
Y pressure [psig]
1 Standard tube and outer cylinder 316L (100 barg PED option) with ASME 600 lbs flanges (sizes DN06...25)
2 Standard tube and outer cylinder 316L (100 barg PED option) with ASME 600 lbs flanges (sizes DN40...80)
3 Outer cylinder (63 barg PED / CRN option)
4 ASME 300 lbs
5 ASME 150 lbs
6 Hygienic connections
MA_OPTIMASS_7000_en_151026_4001016303_R03.book Page 40 Monday, October 26, 2015 4:44 PM

Related product manuals