EasyManua.ls Logo

KROHNE OPTIMASS 7000 - Page 41

KROHNE OPTIMASS 7000
56 pages
Print Icon
To Next Page IconTo Next Page
To Next Page IconTo Next Page
To Previous Page IconTo Previous Page
To Previous Page IconTo Previous Page
Loading...
TECHNICAL DATA 6
41
OPTIMASS 7000
www.krohne.com10/2015 - 4001016303 - MA OPTIMASS 7000 R03 en
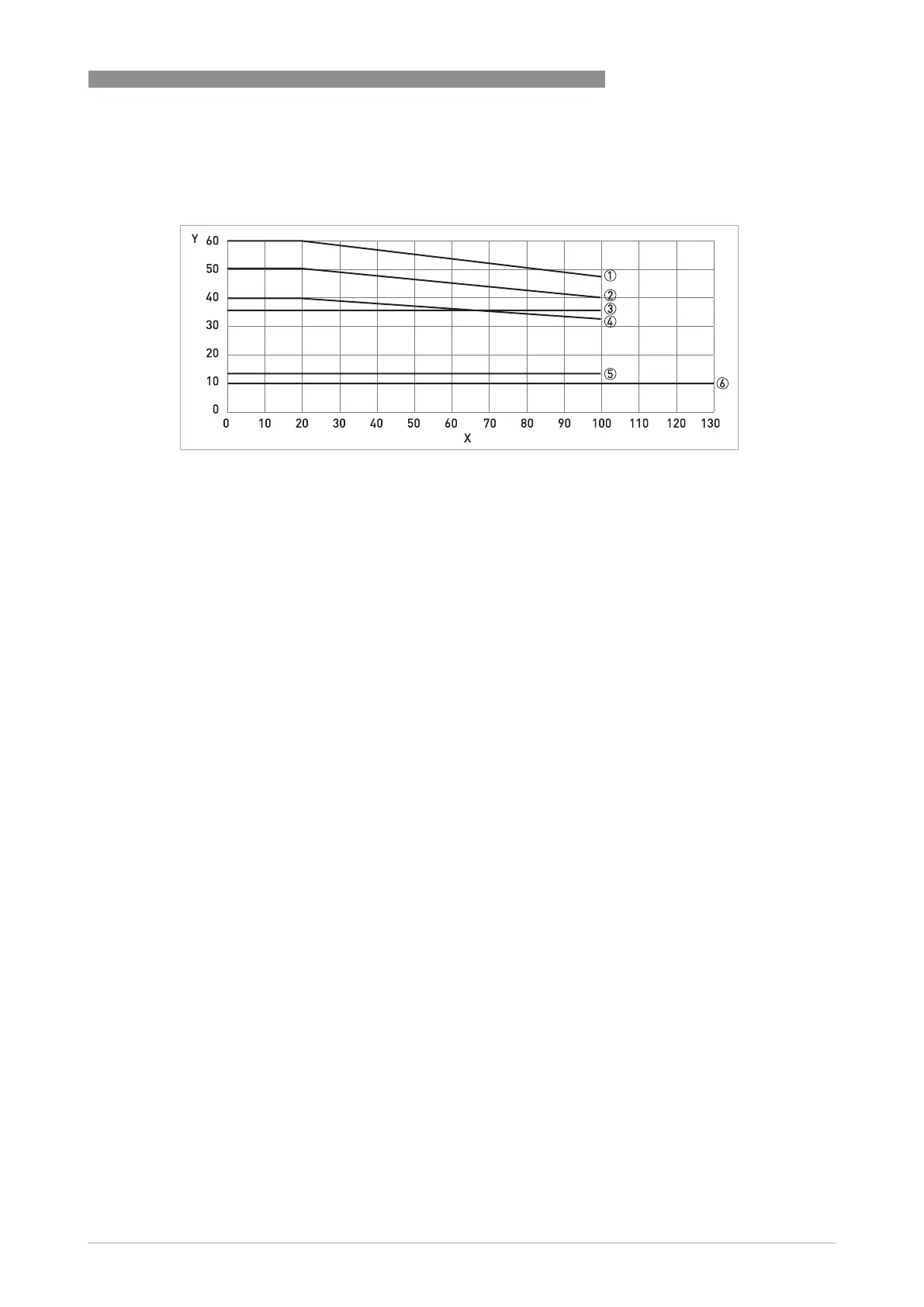
Pressure / temperature de-rating for Stainless Steel, Hastelloy
Pressure / temperature de-rating for Stainless Steel, HastelloyPressure / temperature de-rating for Stainless Steel, Hastelloy
Pressure / temperature de-rating for Stainless Steel, Hastelloy® C22 and Tantalum
C22 and Tantalum C22 and Tantalum
C22 and Tantalum
meters (all meter sizes with flanged connections as per EN 1092-1 and JIS B 2220)
meters (all meter sizes with flanged connections as per EN 1092-1 and JIS B 2220)meters (all meter sizes with flanged connections as per EN 1092-1 and JIS B 2220)
meters (all meter sizes with flanged connections as per EN 1092-1 and JIS B 2220)
X temperature [°C]
Y pressure [barg]
1 Outer cyclinder de-rating for SS and Hastelloy® meters, all sizes. (63 barg PED / CRN option)
2 De-rating for SS, Hastelloy® and Tantalum measuring tubes and outer cylinder de-rating for Tantalum meters (all
sizes).
3 JIS 20K flanges
4 DIN 2635 PN40 flanges
5 JIS 10K flanges
6 Hygienic connections (extended temperature option, Stainless Steel only)
MA_OPTIMASS_7000_en_151026_4001016303_R03.book Page 41 Monday, October 26, 2015 4:44 PM

Related product manuals