EasyManua.ls Logo

Lenze i700 Series

Lenze i700 Series
162 pages
To Next Page IconTo Next Page
To Next Page IconTo Next Page
To Previous Page IconTo Previous Page
To Previous Page IconTo Previous Page
Loading...
Technical data
Overcurrent operation
4
l
43
EDS700ACBA EN 5.1
t
0
100%
1
0
2
I [%]
aNx
T
2
T
3
T
4
T
1
8400IZ180
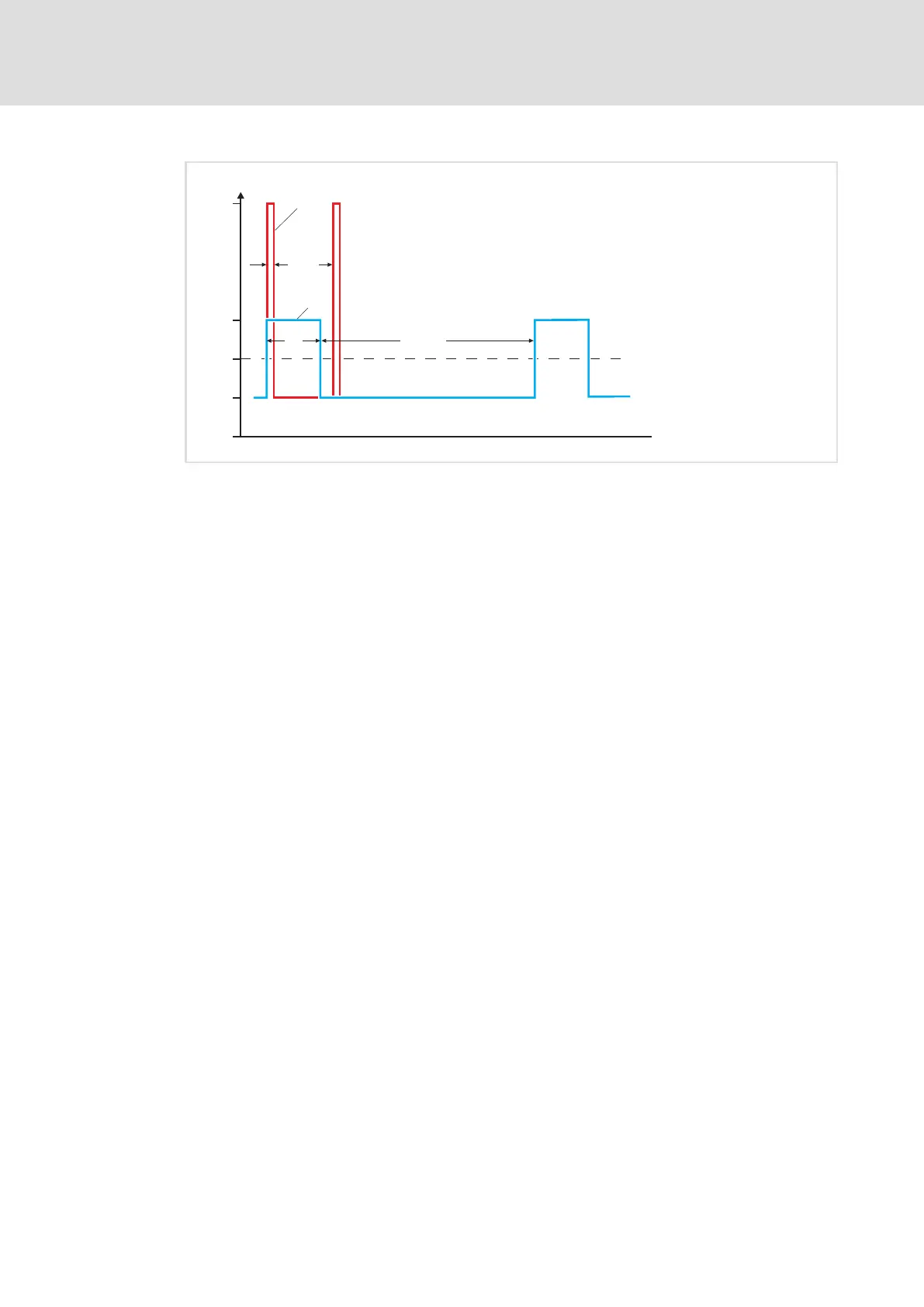
Fig. 4−1 Overcurrent capacity at 40° C
Pulse utilisation (15 s cycle)
0 Peak current
2 Unloading current
T
1
Peak current period
T
2
Unloading current period
Permanent load (180 s cycle)
1 Peak current
2 Unloading current
T
3
Peak current period
T
4
Unloading current period
I
aNx
Rated value of continuous output current
I Tip!
For calculations of application−specific cycles please contact your Lenze contact
person.

Table of Contents

Other manuals for Lenze i700 Series

Related product manuals