EasyManua.ls Logo

LG DP372D - Electrical Troubleshooting Guide

LG DP372D
53 pages
Print Icon
To Next Page IconTo Next Page
To Next Page IconTo Next Page
To Previous Page IconTo Previous Page
To Previous Page IconTo Previous Page
Loading...
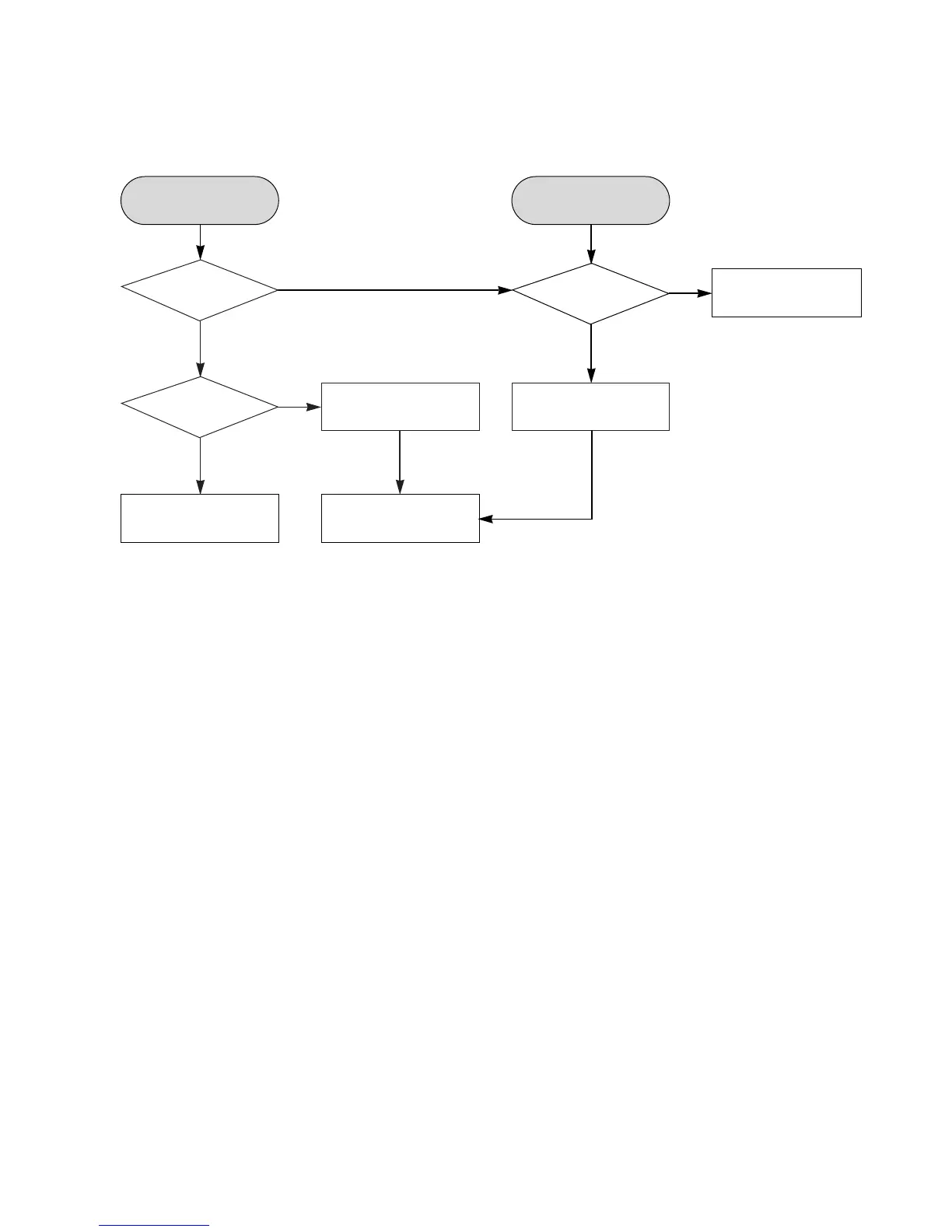
3-2
ELECTRICAL TROUBLESHOOTING GUIDE
Copyright © 2008 LG Electronics. Inc. All right reserved.
Only for training and service purposes
LGE Internal Use Only
No 3.3VA
Check Q305/Q306
and Replace
Replace U301
NO
1. POWER CHECK FLOW
A. B.
Is
5VA section
working?
Check Q303/D301
and Replace
Check Q304/D302
and Replace
YES
YES
YESNO
Is
VCC_5V section
working?
No 5VA
Check
D501 Replace
NO
BAT_OUT=12V?
YES
YES

Table of Contents

Related product manuals