EasyManua.ls Logo

Loewe FL38 - Waveforms

Loewe FL38
53 pages
Print Icon
To Next Page IconTo Next Page
To Next Page IconTo Next Page
To Previous Page IconTo Previous Page
To Previous Page IconTo Previous Page
Loading...
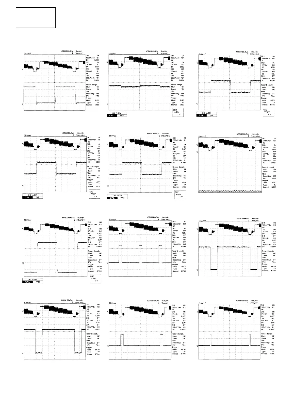
20
FL38
(LC-15A2L)
WAVEFORMS
A. V0 B. V16
C. V32
D. V48
E. V63
F. B-5.5
G. CSCOM H. GCK
I. GSP
J. VACT
K. HC
L. HSY

Related product manuals