EasyManua.ls Logo

Marantz AV8802/U1B - Page 207

Marantz AV8802/U1B
273 pages
Print Icon
To Next Page IconTo Next Page
To Next Page IconTo Next Page
To Previous Page IconTo Previous Page
To Previous Page IconTo Previous Page
Loading...
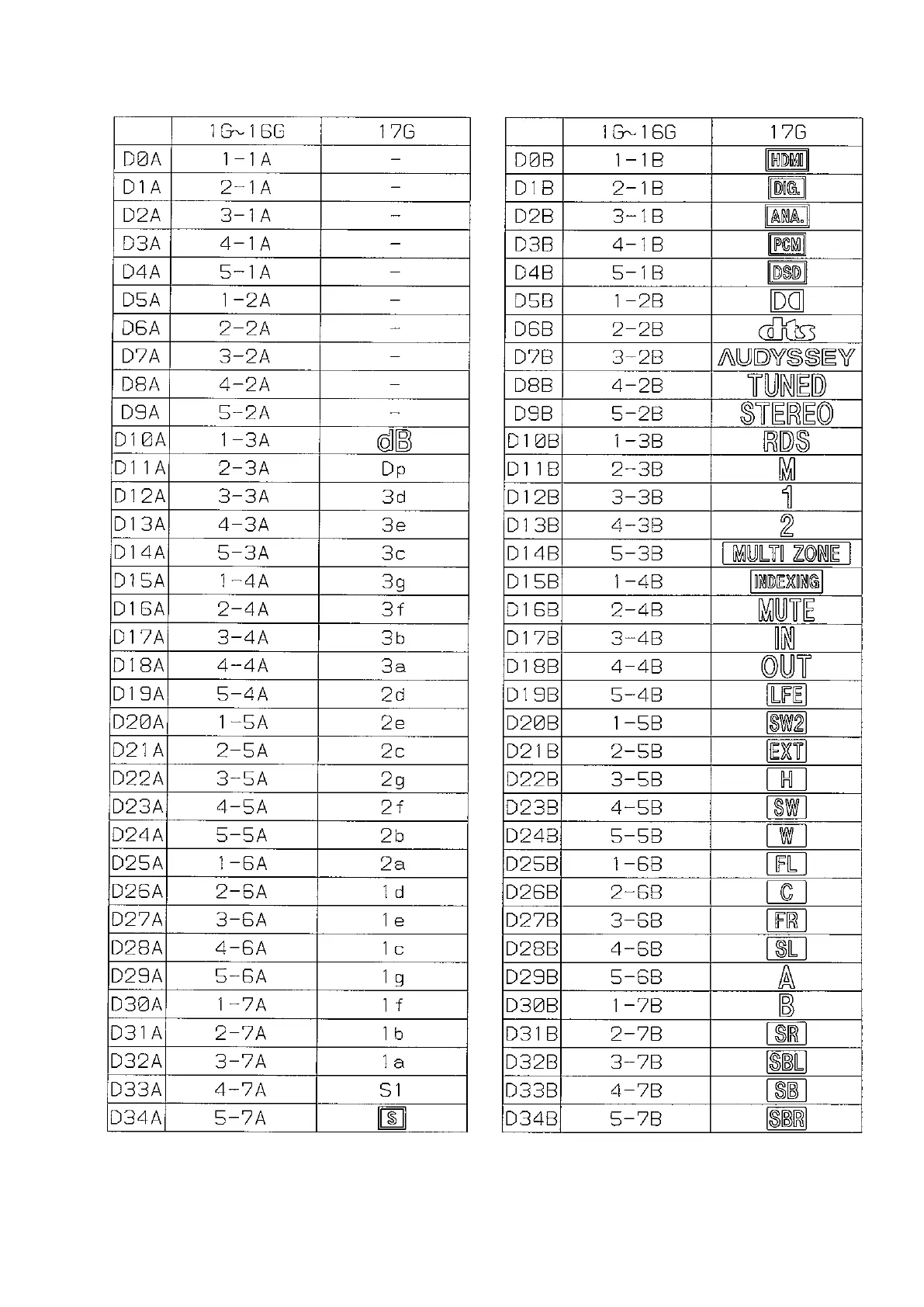
ANODE CONNECTION
207

Table of Contents

Related product manuals