EasyManua.ls Logo

Marathon Electric DVR 2000E+ - Generator Reverse Power Flow Alarm; Loss of CAN Communication Alarm

Marathon Electric DVR 2000E+
80 pages
Print Icon
To Next Page IconTo Next Page
To Next Page IconTo Next Page
To Previous Page IconTo Previous Page
To Previous Page IconTo Previous Page
Loading...
21
Marathon Electric (a division of RBC Manufacturing Corp.) reserves the right to change specications and this manual without notice.
Revised 06/2011
Generator Reverse Power Flow Alarm
The DVR
®
2000E+ has a fixed Generator Reverse Power Flow Alarm threshold. If the regulator senses reverse
power flow in excess of alarm threshold, the HMI will change from a PYN status to an alarm status with alarm code
A014 until the reverse power flow falls below the alarm threshold. The Windows® communication software also
displays this alarm condition.
Loss of CAN Communication Alarm
The DVR
®
2000E+hasanadjustableLossofCANCommunicationtimeoutthresholdof0.0to45.0seconds(default
of0.0sec).Iftheregulatordoesnotreceivea“VRHeartbeat”messagewithinthethresholdtime,theHMIwill
change from a PYN status to an alarm status with alarm code A006untiltheregulatorreceivesa“VRHeartbeat”
message. This feature is disabled if the timeout is set to 0.0 seconds. Refer to Section 8 – CAN Bus Interface for
details.
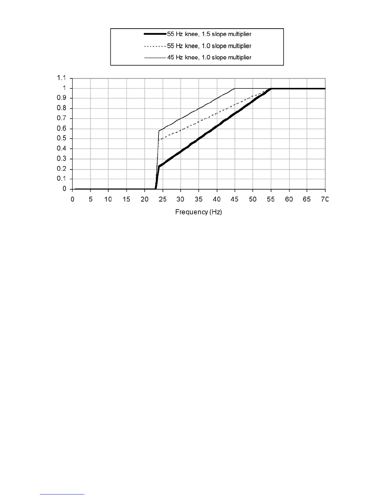
Figure 3-3 Examples of Under Frequency and Slope

Table of Contents

Other manuals for Marathon Electric DVR 2000E+

Related product manuals