EasyManua.ls Logo

MAYEKAWA 8M - Oil Cooler Heat Rejection (Ohr);Head Jacket Heat Rejection (JHR) (N4 M, N6 M, N8 M)

Default Icon
166 pages
Print Icon
To Next Page IconTo Next Page
To Next Page IconTo Next Page
To Previous Page IconTo Previous Page
To Previous Page IconTo Previous Page
Loading...
2202G1JE-DA-M-N_2010.01.
7 Related Document
Reciprocating Compressor M Series 7.5 OHR/ JHR (N4M, N6M, N8M)
7-17
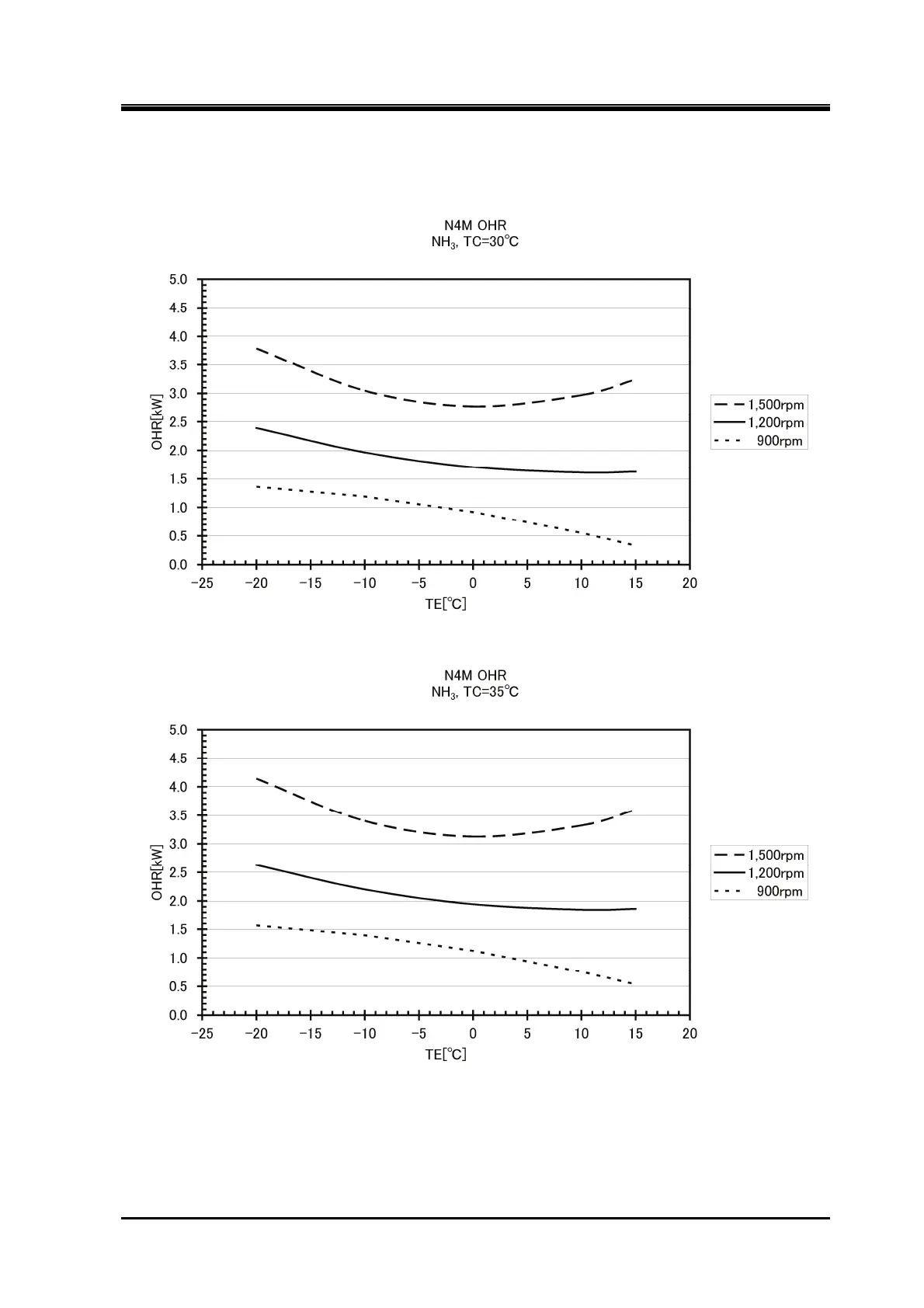
7.5 Oil Cooler Heat Rejection (OHR)/Head Jacket Heat
Rejection (JHR) (N4M, N6M, N8M)

Table of Contents

Related product manuals