EasyManua.ls Logo

McQuay GZ 035AM

McQuay GZ 035AM
104 pages
To Next Page IconTo Next Page
To Next Page IconTo Next Page
To Previous Page IconTo Previous Page
To Previous Page IconTo Previous Page
Loading...
50 IOMM ACZ/AGZ-1
As the OAT increases above the Outdoor Air Low Limit (OALL), the Actual Leaving Water Setpoint is
decreased from its Leaving High Limit (Leaving Water Setpoint plus Leaving Reset Band) to the
Leaving Water Setpoint. When OAT reaches the OAHL, the Actual Leaving Water Setpoint equals
the Leaving Water Setpoint (AI4). If the OAT sensor is missing or unreliable, no reset occurs and the
Actual Leaving Water Setpoint equals the Leaving Water Setpoint. If the Leaving Water Sensor (AI1)
becomes unreliable, the compressor command is forced to 0%.
Return Water Reset (optional Return Water Sensor is required)
When selected, a Return Water Temperature (RWT) sensor is connected to TB-7 terminals #134 and
#135. Four variables are used to setup the reset ramp that calculates the Actual Leaving Water
Setpoint. These are: Leaving Water Setpoint (AI-4), Reset Band selected with a Zone Terminal,
Return Water High Limit (RWHL), and Return Water Reset Band (RWRB).
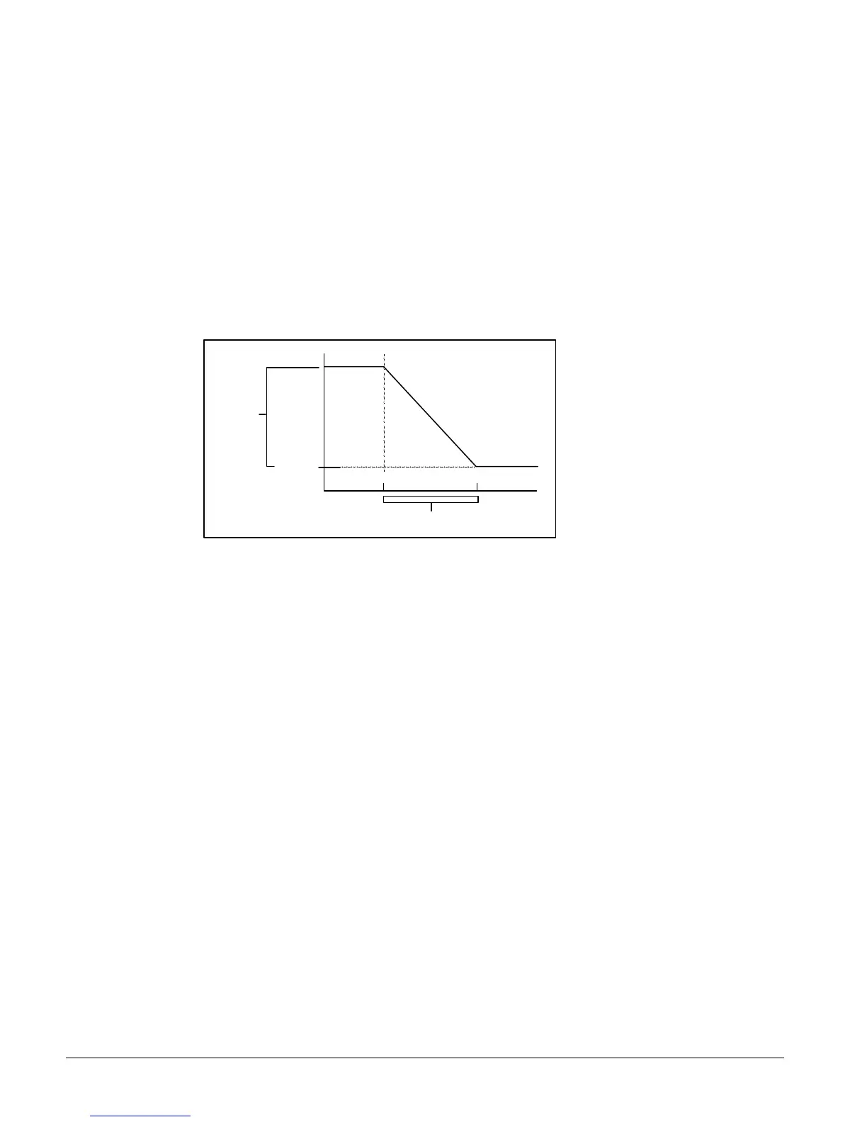
Figure 24, Return Water Reset
LWRB
LWSP
RWLL RWHL
RWRB
(RWLL=RWHL - RWRB)
As the RWT increases above the Return Water Low Limit (RWLL), the controller decreases the Actual
Leaving Water Setpoint from its Leaving High Limit (Leaving Water Setpoint plus Leaving Reset
Band) to the Leaving Water Setpoint. When RWT reaches the RWHL, the Actual Leaving Water
Setpoint equals the Leaving Water Setpoint (AI-4). If the RWT sensor is missing or unreliable, no
reset occurs and the Actual Leaving Water Setpoint equals the Leaving Water Setpoint. If the
Leaving Water Sensor (AI-1) becomes unreliable, the compressor command is forced to 0%.
When Return Water Reset is chosen, a Fail Smart Logic option is also available. This option works as
follows. If the Leaving Water Sensor (AI-1) becomes unreliable, the controller switches from Leaving
Water control to Return Water control. Actual Return Water Setpoint equals Leaving Water Setpoint
(AI-4) plus an adjustable Leaving Water Setpoint Offset. This value takes into account the
temperature differential between Leaving and Return water temperatures, which is typically about 10
o
F.
If both the Leaving and Return water sensors are unreliable, the compressor is forced to 0%.

Related product manuals